给你二叉树的根节点 root 和一个表示目标和的整数 targetSum ,判断该树中是否存在 根节点到叶子节点 的路径,这条路径上所有节点值相加等于目标和 targetSum 。
叶子节点 是指没有子节点的节点。
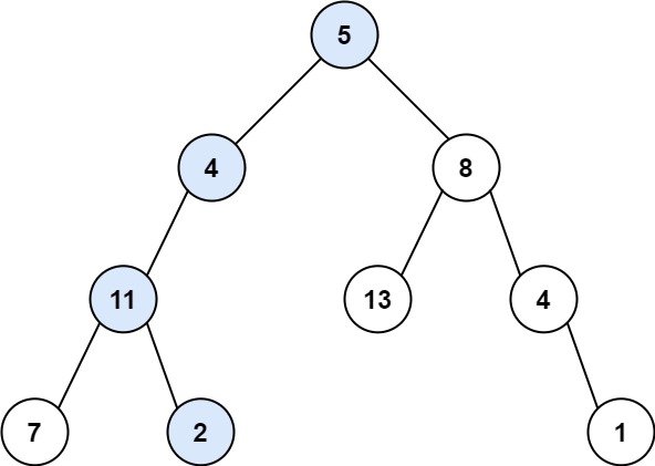
输入:root = [5,4,8,11,null,13,4,7,2,null,null,null,1], targetSum = 22
输出:true
var hasPathSum = function(root, targetSum) {if(!root) return falselet res = falseconst dfs = (root, sum) => {if(!root.right && !root.left && sum == targetSum) {res = true}if(root.left) dfs(root.left, sum + root.left.val)if(root.right) dfs(root.right, sum + root.right.val)}dfs(root, root.val)return res};
