有效数字(按顺序)可以分成以下几个部分:
一个 小数 或者 整数
(可选)一个 ‘e’ 或 ‘E’ ,后面跟着一个 整数
小数(按顺序)可以分成以下几个部分:
(可选)一个符号字符(’+’ 或 ‘-‘)
下述格式之一:
至少一位数字,后面跟着一个点 ‘.’
至少一位数字,后面跟着一个点 ‘.’ ,后面再跟着至少一位数字
一个点 ‘.’ ,后面跟着至少一位数字
整数(按顺序)可以分成以下几个部分:
(可选)一个符号字符(’+’ 或 ‘-‘)
至少一位数字
部分有效数字列举如下:
[“2”, “0089”, “-0.1”, “+3.14”, “4.”, “-.9”, “2e10”, “-90E3”, “3e+7”, “+6e-1”, “53.5e93”, “-123.456e789”]
部分无效数字列举如下:
[“abc”, “1a”, “1e”, “e3”, “99e2.5”, “—6”, “-+3”, “95a54e53”]
给你一个字符串 s ,如果 s 是一个 有效数字 ,请返回 true 。


完整的有效数字
+3.3e+3
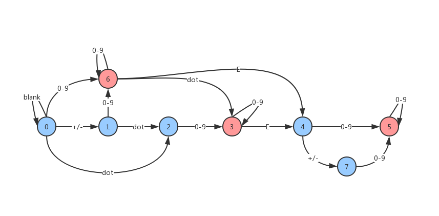
有限状态机,找出初始状态和接受拒绝状态,写出邻接表
var isNumber = function(s) {const graph = {0:{"blank":0,'sign':1,".":2,"digit":6},1:{"digit":6,".":2},2:{"digit":3},3:{"digit":3,"e":4},4:{"digit":5,"sign":7},5:{"digit":5},6:{"digit":6,".":3,"e":4},7:{"digit":5}}let state = 0for(c of s.trim()){if(c<10 && c>=0){c = 'digit'}else if(c === ' '){c = 'blank'}else if(c ==='+' || c==="-"){c = 'sign'}else if (c==='e' || c==='E'){c = 'e'}state = graph[state][c]if(state === undefined) {return false}}if(state == 3|| state == 5|| state == 6){return true}return false};
