LeetCode 19. Remove Nth Node From End of List 2:30
LeetCode 237. Delete Node in a Linked List 14:30
LeetCode 83. Remove Duplicates from Sorted List 22:08
LeetCode 61. Rotate List 32:00
LeetCode 24. Swap Nodes in Pairs 44:30
LeetCode 206. Reverse Linked List 53:10
LeetCode 92. Reverse Linked List II 64:00
LeetCode 160. Intersection of Two Linked Lists 77:08
LeetCode 142. Linked List Cycle II 88:15
LeetCode 148. Sort List 101:05
视频地址:https://www.bilibili.com/video/BV1jt411J7tC
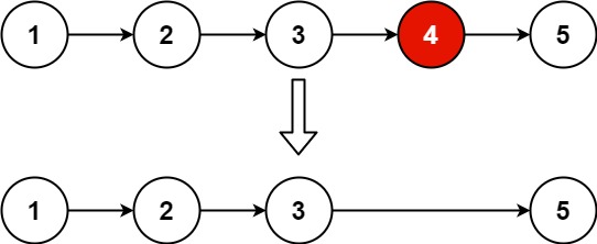
19. 删除链表的倒数第 N 个结点
给你一个链表,删除链表的倒数第 n 个结点,并且返回链表的头结点。
进阶:你能尝试使用一趟扫描实现吗?
示例 1:
输入:head = [1,2,3,4,5], n = 2
输出:[1,2,3,5]
示例 2:
输入:head = [1], n = 1
输出:[]
示例 3:
输入:head = [1,2], n = 1
输出:[1]
* Definition for singly-linked list.* public class ListNode {* int val;* ListNode next;* ListNode() {}* ListNode(int val) { this.val = val; }//构造方法* ListNode(int val, ListNode next) { this.val = val; this.next = next; }//构造方法* }*/class Solution {public ListNode removeNthFromEnd(ListNode head, int n) {ListNode dummy =new ListNode(-1,head);//构造带头指针的头结点ListNode first=head,second=dummy;//用双指针//ListNode first=dummy,second=dummy;//first为dummy时,下面判断为first.next!=null,否则为first!=nullwhile(n>0){first=first.next;//遍历到第n+1个结点n--;}//while(first.next!=null)while(first!=null){first=first.next;//first遍历到最后second=second.next;//second遍历到要删除的结点的前一个}second.next=second.next.next;//删除掉要删除的结点return dummy.next;}}

方法1:ListNode first=head,second=dummy;//用双指针
方法2:ListNode first=dummy,second=dummy;
237. 删除链表中的节点
请编写一个函数,使其可以删除某个链表中给定的(非末尾)节点。传入函数的唯一参数为 要被删除的节点 。
现有一个链表 — head = [4,5,1,9],它可以表示为:
示例 1:
输入:head = [4,5,1,9], node = 5
输出:[4,1,9]
解释:给定你链表中值为 5 的第二个节点,那么在调用了你的函数之后,该链表应变为 4 -> 1 -> 9.
示例 2:
输入:head = [4,5,1,9], node = 1
输出:[4,5,9]
解释:给定你链表中值为 1 的第三个节点,那么在调用了你的函数之后,该链表应变为 4 -> 5 -> 9.
/**
* Definition for singly-linked list.
* public class ListNode {
* int val;
* ListNode next;
* ListNode(int x) { val = x; }
* }
*/
class Solution {
public void deleteNode(ListNode node) {
node.val =node.next.val;
node.next=node.next.next;//用下一个结点替换就行
}
}
83. 删除排序链表中的重复元素
给定一个排序链表,删除所有重复的元素,使得每个元素只出现一次。
示例 1:
输入: 1->1->2
输出: 1->2
示例 2:
输入: 1->1->2->3->3
输出: 1->2->3
class Solution {
public ListNode deleteDuplicates(ListNode head) {
ListNode p=head;
while(p!=null){
//判断是否和下一个结点值相同,相同就删除,不相同或者到了最后就到下一个节点
if(p.next!=null&&p.next.val==p.val)
p.next=p.next.next;
else p=p.next;
}
return head;
}
}
61. 旋转链表
给定一个链表,旋转链表,将链表每个节点向右移动 k 个位置,其中 k 是非负数。
示例 1:
输入: 1->2->3->4->5->NULL, k = 2
输出: 4->5->1->2->3->NULL
解释:
向右旋转 1 步: 5->1->2->3->4->NULL
向右旋转 2 步: 4->5->1->2->3->NULL
示例 2:
输入: 0->1->2->NULL, k = 4
输出: 2->0->1->NULL
解释:
向右旋转 1 步: 2->0->1->NULL
向右旋转 2 步: 1->2->0->NULL
向右旋转 3 步: 0->1->2->NULL
向右旋转 4 步: 2->0->1->NULL
* Definition for singly-linked list.
* public class ListNode {
* int val;
* ListNode next;
* ListNode() {}
* ListNode(int val) { this.val = val; }
* ListNode(int val, ListNode next) { this.val = val; this.next = next; }
* }
*/
class Solution {
public ListNode rotateRight(ListNode head, int k) {
if(head==null) return null;
ListNode first=head,second=head;//设置位置,后来最后判断要到first.next
ListNode cur=head;
int n=0;//求出链表长度n
while(cur!=null){
cur=cur.next;
n++;
}
k=k%n;//取余防止过长
while(k>0){
first=first.next;
k--;//将first先向后移动k位,让first和second保持k位置差距
}
while(first.next!=null){
first=first.next;
second=second.next;和第一题一样
}
first.next=head;
head=second.next;//这步要在下步前
second.next=null;
return head;
}
}
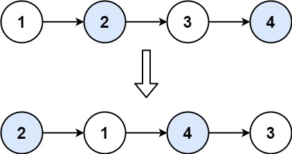
24. 两两交换链表中的节点
给定一个链表,两两交换其中相邻的节点,并返回交换后的链表。
你不能只是单纯的改变节点内部的值,而是需要实际的进行节点交换。
示例 1:
输入:head = [1,2,3,4]
输出:[2,1,4,3]
示例 2:
输入:head = []
输出:[]
示例 3:
输入:head = [1]
输出:[1]
/**
* Definition for singly-linked list.
* public class ListNode {
* int val;
* ListNode next;
* ListNode() {}
* ListNode(int val) { this.val = val; }
* ListNode(int val, ListNode next) { this.val = val; this.next = next; }
* }
*/
class Solution {
public ListNode swapPairs(ListNode head) {
ListNode dummy =new ListNode(-1,head);
for(ListNode p=dummy;p.next!=null&&p.next.next!=null;){
ListNode a=p.next,b=a.next;
p.next=b;//(1
a.next=b.next;//(2
b.next=a;//(3
// p=p.next.next;一样的
p=a;//(4
}
return dummy.next;
}
}
206. 反转链表
反转一个单链表。
示例:
输入: 1->2->3->4->5->NULL
输出: 5->4->3->2->1->NULL
class Solution {
public ListNode reverseList(ListNode head) {
if(head==null) return null;
ListNode a=head,b=head.next;
while(b!=null){
ListNode c=b.next;
b.next=a;
a=b;b=c;
}
head.next=null;
return a;
}
}
92. 反转链表 II
反转从位置 m 到 n 的链表。请使用一趟扫描完成反转。
说明:
1 ≤ m ≤ n ≤ 链表长度。
示例:
输入: 1->2->3->4->5->NULL, m = 2, n = 4
输出: 1->4->3->2->5->NULL
class Solution {
public ListNode reverseBetween(ListNode head, int m, int n) {
if(head==null) return null;
ListNode dummy=new ListNode(-1,head);
ListNode a=dummy,d=dummy;
if(m==n) return head;
for(int i=0;i<m-1;i++) a=a.next;
for(int i=0;i<n;i++) d=d.next;
//我的版本:
// ListNode b=a.next,q=b,c=d.next,p=b.next;
// while(p!=c){
// ListNode o=p.next;
// p.next=b;
// b=p;p=o;
// }
// a.next=d;
// q.next=c;
//原始版本:
ListNode b=a.next,c=d.next;
for(ListNode p=b,q=b.next;q!=c;){//步骤1,和上题一样
ListNode o=q.next;
q.next=p;
p=q;q=o;
}
//步骤2
b.next=c;
a.next=d;
return dummy.next;
}
}
160. 相交链表
编写一个程序,找到两个单链表相交的起始节点。
如下面的两个链表:
在节点 c1 开始相交。
示例 1:
输入:intersectVal = 8, listA = [4,1,8,4,5], listB = [5,0,1,8,4,5], skipA = 2, skipB = 3
输出:Reference of the node with value = 8
输入解释:相交节点的值为 8 (注意,如果两个链表相交则不能为 0)。从各自的表头开始算起,链表 A 为 [4,1,8,4,5],链表 B 为 [5,0,1,8,4,5]。在 A 中,相交节点前有 2 个节点;在 B 中,相交节点前有 3 个节点。
示例 2:
输入:intersectVal = 2, listA = [0,9,1,2,4], listB = [3,2,4], skipA = 3, skipB = 1
输出:Reference of the node with value = 2
输入解释:相交节点的值为 2 (注意,如果两个链表相交则不能为 0)。从各自的表头开始算起,链表 A 为 [0,9,1,2,4],链表 B 为 [3,2,4]。在 A 中,相交节点前有 3 个节点;在 B 中,相交节点前有 1 个节点。
示例 3:
输入:intersectVal = 0, listA = [2,6,4], listB = [1,5], skipA = 3, skipB = 2
输出:null
输入解释:从各自的表头开始算起,链表 A 为 [2,6,4],链表 B 为 [1,5]。由于这两个链表不相交,所以 intersectVal 必须为 0,而 skipA 和 skipB 可以是任意值。
解释:这两个链表不相交,因此返回 null。
public class Solution {
public ListNode getIntersectionNode(ListNode headA, ListNode headB) {
ListNode p=headA,q=headB;
while(p!=q){
if(p!=null) p=p.next;
else p=headB;
if(q!=null) q=q.next;
else q=headA;
}
return p;
}
}
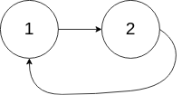
142. 环形链表 II
给定一个链表,返回链表开始入环的第一个节点。 如果链表无环,则返回 null。
为了表示给定链表中的环,我们使用整数 pos 来表示链表尾连接到链表中的位置(索引从 0 开始)。 如果 pos 是 -1,则在该链表中没有环。注意,pos 仅仅是用于标识环的情况,并不会作为参数传递到函数中。
说明:不允许修改给定的链表。
进阶:
你是否可以使用
O(1)空间解决此题?
示例 1:
输入:head = [3,2,0,-4], pos = 1
输出:返回索引为 1 的链表节点
解释:链表中有一个环,其尾部连接到第二个节点。
示例 2:
输入:head = [1,2], pos = 0
输出:返回索引为 0 的链表节点
解释:链表中有一个环,其尾部连接到第一个节点。
示例 3:
输入:head = [1], pos = -1
输出:返回 null
解释:链表中没有环。

此题还可以用hash
public class Solution {
public ListNode detectCycle(ListNode head) {
ListNode fast=head,slow=head;
while(fast!=null){
fast=fast.next;
slow=slow.next;
if(fast!=null) fast=fast.next;//走两步
else break;
if(fast==slow){
fast=head;//回到起始位置,一次走一步。
while(fast!=slow){
fast=fast.next;
slow=slow.next;
}
return fast;//两个相遇返回
}
}
return null;
}
}
用hashset的做法
public class Solution {
public ListNode detectCycle(ListNode head) {
Set<ListNode> hs=new HashSet<ListNode>();
while(head!=null){
if(!hs.add(head))
return head;
head=head.next;
}
return null;
}
}
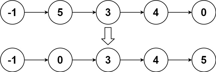
148. 排序链表
给你链表的头结点 head ,请将其按 升序 排列并返回 排序后的链表 。
进阶:
你可以在
O(n log n)时间复杂度和常数级空间复杂度下,对链表进行排序吗?
示例 1:
输入:head = [4,2,1,3]
输出:[1,2,3,4]
示例 2:
输入:head = [-1,5,3,4,0]
输出:[-1,0,3,4,5]
示例 3:
输入:head = []
输出:[]
class Solution {
public ListNode sortList(ListNode head) {
ListNode dummy=new ListNode(-1,head);
int n=0;
for(ListNode p=head;p!=null;p=p.next) n++;
for(int i=1;i<n;i*=2){
ListNode cur=dummy;
for(int j=0;j+i<n;j+=i*2){
ListNode left=cur.next,right=cur.next;
for(int k=0;k<i;k++) right=right.next;
int l=0,r=0;
while(l<i&&r<i&&right!=null)
if(left.val<=right.val){
cur.next=left;
cur=left;
left=left.next;
l++;
}else{
cur.next=right;
cur=right;
right=right.next;
r++;
}
while(l<i){
cur.next=left;
cur=left;
left=left.next;
l++;
}
while(r<i&&right!=null){
cur.next=right;
cur=right;
right=right.next;
r++;
}
cur.next=right;
}
}
return dummy.next;
}
}
下面是详细解释c++版本的
class Solution {
public:
ListNode* sortList(ListNode* head) {
//很不熟练,利用自底向上的归并思想,每次先归并好其中一小段,之后对两小段之间进行归并
int n = 0;
for(auto p = head; p ; p = p->next) n ++;
auto dummy = new ListNode(-1);
dummy->next = head;
for(int i = 1; i < n; i *= 2 ){ //每次归并段的长度,每次长度依次为1,2,4,8...n/2
//小于n是因为等于n时说明所有元素均归并完毕,大于n时同理
auto cur = dummy;
for(int j = 1;j + i <= n; j += 2 * i){//j代表每一段的开始,每次将两段有序段归并为一个大的有序段,故而每次+2i
//必须保证每段中间序号是小于链表长度的,显然,如果大于表长,就没有元素可以归并了
auto p = cur->next,q = p;//p表示第一段的起始点,q表示第二段的起始点,之后开始归并即可
for(int k = 0; k < i; k ++) q = q->next;
//x,y用于计数第一段和第二段归并的节点个数,由于当链表长度非2的整数倍时表长会小于i,故而需要加上p && q的边界判断
int x = 0, y = 0;
while(x < i && y < i && p && q){
if(p->val <= q->val) cur = cur->next = p,p = p->next,x ++; //等号的赋值顺序为从右到左,故而该句意思为
//cur->next = p,cur = cur->next,即将小的一点插入cur链表中
else cur = cur->next = q,q = q->next,y++;
}
//归并排序基本套路
while(x < i && p) cur = cur->next = p,p = p->next,x ++;
while(y < i && q) cur = cur->next = q,q = q->next,y ++;
cur->next = q; //记得把排好序的链表尾链接到下一链表的表头,循环完毕后q为下一链表表头
}
}
return dummy->next;
}
};
作者:yxc
链接:https://www.acwing.com/solution/content/408/
来源:AcWing
著作权归作者所有。商业转载请联系作者获得授权,非商业转载请注明出处。
141. 环形链表
给定一个链表,判断链表中是否有环。
如果链表中有某个节点,可以通过连续跟踪 next 指针再次到达,则链表中存在环。 为了表示给定链表中的环,我们使用整数 pos 来表示链表尾连接到链表中的位置(索引从 0 开始)。 如果 pos 是 -1,则在该链表中没有环。注意:pos 不作为参数进行传递,仅仅是为了标识链表的实际情况。
如果链表中存在环,则返回 true 。 否则,返回 false 。
进阶:
你能用 O(1)(即,常量)内存解决此问题吗?
示例 1:
输入:head = [3,2,0,-4], pos = 1
输出:true
解释:链表中有一个环,其尾部连接到第二个节点。
示例 2:
输入:head = [1,2], pos = 0
输出:true
解释:链表中有一个环,其尾部连接到第一个节点。
示例 3:
输入:head = [1], pos = -1
输出:false
解释:链表中没有环
public class Solution {
public boolean hasCycle(ListNode head) {
Set<ListNode> hs = new HashSet<ListNode>();
while(head!=null){
if (!hs.add(head)) {
return true;
}
head=head.next;
}
return false;
}
}
public class Solution {
public boolean hasCycle(ListNode head) {
if(head==null||head.next==null)
return false;
ListNode fast=head.next,slow=head;
while(fast!=slow){
if (fast == null || fast.next == null) {
return false;
}
slow=slow.next;
fast=fast.next.next;
}
return true;
}
}
