多对多逻辑关系的数据结构——图。

图1
图 1 所示为存储 V1、V2、V3、V4 的图结构,从图中可以清楚的看出数据之间具有的”多对多”关系。例如,V1 与 V4 和 V2 建立着联系,V4 与 V1 和 V3 建立着联系,以此类推。
与链表不同,图中存储的各个数据元素被称为顶点(而不是节点)。拿图 1 来说,该图中含有 4 个顶点,分别为顶点 V1、V2、V3 和 V4。
图存储结构中,习惯上用 Vi 表示图中的顶点,且所有顶点构成的集合通常用 V 表示,如图 1 中顶点的集合为 V={V1,V2,V3,V4}。
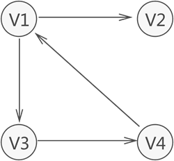
数据之间 “多对多” 的关系还可能用如图 2 所示的图结构表示:

图2 有向图示意
因此,图存储结构可细分两种表现类型,分别为无向图(图 1)和有向图(图 2)。
