相对于单向链表,双向链表的有点是:对于给定的节点,可以从两个方向进行操作,而单向链表只能向后继方向操作,除非持有了该节点的前驱节点。因为双向链表中的节点需要持有其前驱节点以及后驱节点,因此操作上相对于单向链表略微复杂,在存储上也需要更多的存储空间。
下面是一个双向链表的简单示意图。

针对其节点的代码描述为
@Datastatic class DLLNode<T> {// 节点数据private T data;// 节点的前驱节点,如果该节点为头节点,previous则为NULLprivate Node<T> previous;// 节点的后驱节点,如果该节点为尾结点,next则为NULLprivate Node<T> next;}
双向链表的遍历操作
双向链表的遍历和单向链表类似,从前向后遍历是相同的代码逻辑,双向链表比单向链表多了一个从后向前的遍历方式,和从前向后遍历大同小异。
public <T> void foreachDLLNode(Node<T> node) {// 从前向后遍历while (node != null) {System.out.println(node.data);node = node.next;}// 从后向前遍历while (node != null) {System.out.println(node.data);node = node.previous;}}
双向链表的插入操作
同单向链表类似,双向链表的插入也分为从链表的头部插入,中间插入以及从尾部插入,下面笔者从这三种方式讲解。
从链表头部插入数据
从链表的头部插入数据分为几部,其示意图如下

- 将新的节点 A0 的next 指向原表头
- 将原表头的 previous 指向新节点A0
其代码逻辑如下所示
public static <T> Node<T> insertNode(Node<T> newNode, Node<T> source) {newNode.next = source;source.previous = newNode;return newNode;}
从链表中间插入数据
从双向链表中间插入数据分为4步,其示意图如下所示

- 将新节点的 previsou 执行插入点节点 source
- 将插入点的 source 的next指向新节点
- 向新节点的next指向 source 的next节点
- source的next节点的 previous 指向新节点
public static <T> void insertNode(Node<T> newNode, Node<T> source) {// 获取插入节点的后驱节点Node<T> next = source.next;// 将新节点的前驱设置正确newNode.previous = source;source.next = newNode;// 将新节点的next节点设置正确newNode.next = next;next.previous = newNode;}
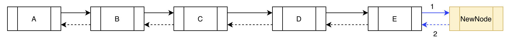
从链表尾部插入数据
从链表尾部插入数据和从头部插入数据类似,其步骤分为2 步

- 将尾结点的next执行新节点
- 向新节点的previous执行尾结点
public static <T> void insertNode(Node<T> newNode, Node<T> end) {end.next = newNode;newNode.previous = end;// 如有必要newNode.next = null;}
双向链表的删除操作
同插入数据一样,删除操作也分为从表头删除,中间删除以及尾部删除
从链表头部删除
其示意图如下 
- 找到新的头部节点,将新的头部节点 与原节点断开
- 将原节点的next断开
返回新的节点
public static <T> Node<T> removeNodeFromHead(Node<T> target) {// 新的头部节点Node<T> newHeadNode = target.next;// 断开与原头节点的关联target.next = null;newHeadNode.previous = null;// help GCtarget = null;return newHeadNode;}
从链表中间删除
其示意图如下
- 断开被删除节点D的前驱引用以及后驱引用
- 将前驱节点C的next指向 E
- 将后驱节点E的previous 指向 C
public static <T> void removeNode(Node<T> target) {// 新的头部节点Node<T> next = target.next;Node<T> previous = target.previous;previous.next = null;target.next = null;next.previous = null;target.previous = null;// help GCtarget = null;previous.next = next;next.previous = previous;}
从链表尾部删除
从链表尾部删除,和从链表头部删除类似

- 删除尾部节点E的previous 引用
- 删除尾部节点E的前驱节点D的next引用
public static <T> void removeNode(Node<T> end) {Node<T> previous = end.previous;end.previous = null;previous.next = null;// help GCend = null;}
