二叉树的定义
- 二叉树具有唯一根节点
- 二叉树每个节点最多有两个孩子
- 二叉树每个节点最多有一个父亲
- 二叉树具有天然的递归结构
- 每个节点的左子树也是二叉树
- 每个节点的右子树也是二叉树
- 二叉树不一定是
“满”的(意思是可能只有左孩子或右孩子,因为null也可能是二叉树)

二分搜索树
- 二分搜索树首先是二叉树
- 二分搜索树的每个节点的值:
- 大于其左子树的所有节点的值
- 小于其右子树的所有节点的值
- 因此存储的元素必须具有可比较性

- 目前二分搜索树不包含重复的元素,如果想包含重复元素,只需要定义
- 左子树小于等于节点
- 或者右子树大于等于节点
二叉搜索树的代码
private class Node {public E e;public Node left, right;public Node(E e) {this.e = e;left = null;right = null;}}private Node root;private int size;public BST() {root = null;size = 0;}public int size() {return size;}public boolean inEmpty() {return size == 0;}
添加子节点递归代码
//往二叉树中插入一个元素public void add(E e) {root = add(root, e);}//递归插入一个元素//返回插入新节点后二分搜索树的跟private Node add(Node node, E e) {if (node == null) {size++;return new Node(e);}//递归if (node.e.compareTo(e) > 0) {node.left = add(node.left, e);} else if (node.e.compareTo(e) < 0) {node.right = add(node.right, e);}return node;}
添加子节点非递归代码
//非递归写法插入一个元素public void addNR(E e){if (root == null){root = new Node(e);size++;return;}Node p = root;while (p!=null){//如果插入的值小于当前值则插到左边if (e.compareTo(p.e) < 0){//如果左子树为空就放在左子树if (p.left == null){p.left = new Node(e);size++;return;}else{p = p.left;}}else if (e.compareTo(p.e) > 0){if (p.right == null){p.right = new Node(e);size++;return;}else{p = p.right;}}else {return;}}}
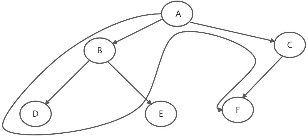
前序遍历

- 前序遍历过程

- 前序遍历代码
- 图示(递归)
前序遍历的非递归形式
/*** 前序遍历的非递归写法*/public void preOrderNR(){Stack<Node> stack = new Stack<>();stack.push(root);while (!stack.isEmpty()){Node cur = stack.pop();System.out.println(cur.e);if (cur.right != null){stack.push(cur.right);}if (cur.left != null){stack.push(cur.left);}}}
- 图示
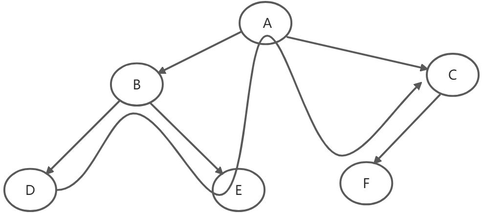
中序遍历
- 中序遍历图示

中序遍历代码
/*** 中序遍历* 中序遍历的结果是顺序的*/public void inOrder() {inOrder(root);}private void inOrder(Node node) {if (node == null)return;inOrder(node.left);System.out.println(node.e);inOrder(node.right);}
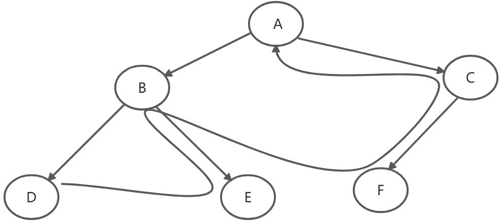
后序遍历
应用
- 为二分搜索树释放内存
- 后续遍历图示

后序遍历代码
/*** 后续遍历* @return*/public void postOrder() {postOrder(root);}private void postOrder(Node node) {if (node == null)return;postOrder(node.left);postOrder(node.right);System.out.println(node.e);}
二分搜索树的层序遍历
层序遍历图示

- 广度优先遍历的意义
- 常用于算法设计中-最短路径
广度优先算法代码
public List<List<Integer>> levelOrder(TreeNode root) {if (root == null){return new ArrayList<>();}List<List<Integer>> res = new ArrayList<>();Queue<TreeNode> queue = new LinkedList<>();queue.add(root);while (!queue.isEmpty()){List<Integer> sublist = new ArrayList<>();int queueLength = queue.size();for (int i = 0; i < queueLength; i++) {TreeNode node = queue.remove();sublist.add(node.val);if (node.left != null){queue.add(node.left);}if (node.right != null){queue.add(node.right);}}res.add(sublist);}return res;}
删除二分搜索树的最小值和最大值
- 很明显,最小值是从根节点开始最左边,最大值是从根节点开始最右边的点
删除节点
/*** 二分搜索树删除节点* @return*///删除以node为根的二分搜索树中值为e的节点,递归算法//返回删除节点后新的的二分搜索树的根public Node remove(Node node , E e){if (node == null)return null;if (e.compareTo(node.e) < 0 ){node.left = remove(node.left,e);return node;}else if(e.compareTo(node.e) > 0){node.right = remove(node.right,e);return node;}else{ // e == node.e//待删除的节点的左子树为空if (node.left == null){Node rightNode = node.right;node.right = null;size--;return rightNode;}//待删除的节点的右子树为空的情况if (node.right == null){Node leftNode = node.left;node.left = null;size--;return leftNode;}//待删除的节点左右子树均不为空的情况//找到比要删除节点大的最小子节点,即待删除节点右子树的最小节点//用这个节点顶替待删除节点的位置Node successor = minimum(node.right);successor.right = removeMin(node.right);successor.left = node.left;node.left = node.right = null;return successor;}}
