- 一、前言
- 二、Logistic回归与梯度上升算法
- http://blog.csdn.net/c406495762 Zhihu: https://www.zhihu.com/people/Jack--Cui/ Modify: 2017-08-28 “”” def GradientAscenttest(): def fprime(xold): #f(x)的导数 return -2 x_old + 4 x_old = -1 #初始值,给一个小于x_new的值 x_new = 0 #梯度上升算法初始值,即从(0,0)开始 alpha = 0.01 #步长,也就是学习速率,控制更新的幅度 presision = 0.00000001 #精度,也就是更新阈值 while abs(x_new - x_old) > presision: x_old = x_new x_new = x_old + alpha f_prime(x_old) #上面提到的公式 print(x_new) #打印最终求解的极值近似值 if __name == ‘__main‘: Gradient_Ascent_test()">-- coding:UTF-8 -- “”” 函数说明:梯度上升算法测试函数 求函数f(x) = -x^2 + 4x的极大值 Parameters: 无 Returns: 无 Author: Jack Cui Blog: http://blog.csdn.net/c406495762 Zhihu: https://www.zhihu.com/people/Jack--Cui/ Modify: 2017-08-28 “”” def GradientAscenttest(): def fprime(xold): #f(x)的导数 return -2 x_old + 4 x_old = -1 #初始值,给一个小于x_new的值 x_new = 0 #梯度上升算法初始值,即从(0,0)开始 alpha = 0.01 #步长,也就是学习速率,控制更新的幅度 presision = 0.00000001 #精度,也就是更新阈值 while abs(x_new - x_old) > presision: x_old = x_new x_new = x_old + alpha f_prime(x_old) #上面提到的公式 print(x_new) #打印最终求解的极值近似值 if __name == ‘__main‘: Gradient_Ascent_test()
- http://blog.csdn.net/c406495762 Zhihu: https://www.zhihu.com/people/Jack--Cui/ Modify: 2017-08-28 “”” def loadDataSet(): dataMat = [] #创建数据列表 labelMat = [] #创建标签列表 fr = open(‘testSet.txt’) #打开文件 for line in fr.readlines(): #逐行读取 lineArr = line.strip().split() #去回车,放入列表 dataMat.append([1.0, float(lineArr[0]), float(lineArr[1])]) #添加数据 labelMat.append(int(lineArr[2])) #添加标签 fr.close() #关闭文件 return dataMat, labelMat #返回 “”” 函数说明:绘制数据集 Parameters: 无 Returns: 无 Author: Jack Cui Blog: http://blog.csdn.net/c406495762 Zhihu: https://www.zhihu.com/people/Jack--Cui/ Modify: 2017-08-28 “”” def plotDataSet(): dataMat, labelMat = loadDataSet() #加载数据集 dataArr = np.array(dataMat) #转换成numpy的array数组 n = np.shape(dataMat)[0] #数据个数 xcord1 = []; ycord1 = [] #正样本 xcord2 = []; ycord2 = [] #负样本 for i in range(n): #根据数据集标签进行分类 if int(labelMat[i]) == 1: xcord1.append(dataArr[i,1]); ycord1.append(dataArr[i,2]) #1为正样本 else: xcord2.append(dataArr[i,1]); ycord2.append(dataArr[i,2]) #0为负样本 fig = plt.figure() ax = fig.addsubplot(111) #添加subplot ax.scatter(xcord1, ycord1, s = 20, c = ‘red’, marker = ‘s’,alpha=.5)#绘制正样本 ax.scatter(xcord2, ycord2, s = 20, c = ‘green’,alpha=.5) #绘制负样本 plt.title(‘DataSet’) #绘制title plt.xlabel(‘x’); plt.ylabel(‘y’) #绘制label plt.show() #显示 if name == ‘_main‘: plotDataSet()">-- coding:UTF-8 -- import matplotlib.pyplot as plt import numpy as np “”” 函数说明:加载数据 Parameters: 无 Returns: dataMat - 数据列表 labelMat - 标签列表 Author: Jack Cui Blog: http://blog.csdn.net/c406495762 Zhihu: https://www.zhihu.com/people/Jack--Cui/ Modify: 2017-08-28 “”” def loadDataSet(): dataMat = [] #创建数据列表 labelMat = [] #创建标签列表 fr = open(‘testSet.txt’) #打开文件 for line in fr.readlines(): #逐行读取 lineArr = line.strip().split() #去回车,放入列表 dataMat.append([1.0, float(lineArr[0]), float(lineArr[1])]) #添加数据 labelMat.append(int(lineArr[2])) #添加标签 fr.close() #关闭文件 return dataMat, labelMat #返回 “”” 函数说明:绘制数据集 Parameters: 无 Returns: 无 Author: Jack Cui Blog: http://blog.csdn.net/c406495762 Zhihu: https://www.zhihu.com/people/Jack--Cui/ Modify: 2017-08-28 “”” def plotDataSet(): dataMat, labelMat = loadDataSet() #加载数据集 dataArr = np.array(dataMat) #转换成numpy的array数组 n = np.shape(dataMat)[0] #数据个数 xcord1 = []; ycord1 = [] #正样本 xcord2 = []; ycord2 = [] #负样本 for i in range(n): #根据数据集标签进行分类 if int(labelMat[i]) == 1: xcord1.append(dataArr[i,1]); ycord1.append(dataArr[i,2]) #1为正样本 else: xcord2.append(dataArr[i,1]); ycord2.append(dataArr[i,2]) #0为负样本 fig = plt.figure() ax = fig.addsubplot(111) #添加subplot ax.scatter(xcord1, ycord1, s = 20, c = ‘red’, marker = ‘s’,alpha=.5)#绘制正样本 ax.scatter(xcord2, ycord2, s = 20, c = ‘green’,alpha=.5) #绘制负样本 plt.title(‘DataSet’) #绘制title plt.xlabel(‘x’); plt.ylabel(‘y’) #绘制label plt.show() #显示 if name == ‘_main‘: plotDataSet()
- http://blog.csdn.net/c406495762 Zhihu: https://www.zhihu.com/people/Jack--Cui/ Modify: 2017-08-28 “”” def loadDataSet(): dataMat = [] #创建数据列表 labelMat = [] #创建标签列表 fr = open(‘testSet.txt’) #打开文件 for line in fr.readlines(): #逐行读取 lineArr = line.strip().split() #去回车,放入列表 dataMat.append([1.0, float(lineArr[0]), float(lineArr[1])]) #添加数据 labelMat.append(int(lineArr[2])) #添加标签 fr.close() #关闭文件 return dataMat, labelMat #返回 “”” 函数说明:sigmoid函数 Parameters: inX - 数据 Returns: sigmoid函数 Author: Jack Cui Blog: http://blog.csdn.net/c406495762 Zhihu: https://www.zhihu.com/people/Jack--Cui/ Modify: 2017-08-28 “”” def sigmoid(inX): return 1.0 / (1 + np.exp(-inX)) “”” 函数说明:梯度上升算法 Parameters: dataMatIn - 数据集 classLabels - 数据标签 Returns: weights.getA() - 求得的权重数组(最优参数) Author: Jack Cui Blog: http://blog.csdn.net/c406495762 Zhihu: https://www.zhihu.com/people/Jack--Cui/ Modify: 2017-08-28 “”” def gradAscent(dataMatIn, classLabels): dataMatrix = np.mat(dataMatIn) #转换成numpy的mat labelMat = np.mat(classLabels).transpose() #转换成numpy的mat,并进行转置 m, n = np.shape(dataMatrix) #返回dataMatrix的大小。m为行数,n为列数。 alpha = 0.001 #移动步长,也就是学习速率,控制更新的幅度。 maxCycles = 500 #最大迭代次数 weights = np.ones((n,1)) for k in range(maxCycles): h = sigmoid(dataMatrix weights) #梯度上升矢量化公式 error = labelMat - h weights = weights + alpha dataMatrix.transpose() * error return weights.getA() #将矩阵转换为数组,返回权重数组 if name == ‘main‘: dataMat, labelMat = loadDataSet() print(gradAscent(dataMat, labelMat))">-- coding:UTF-8 -- import numpy as np “”” 函数说明:加载数据 Parameters: 无 Returns: dataMat - 数据列表 labelMat - 标签列表 Author: Jack Cui Blog: http://blog.csdn.net/c406495762 Zhihu: https://www.zhihu.com/people/Jack--Cui/ Modify: 2017-08-28 “”” def loadDataSet(): dataMat = [] #创建数据列表 labelMat = [] #创建标签列表 fr = open(‘testSet.txt’) #打开文件 for line in fr.readlines(): #逐行读取 lineArr = line.strip().split() #去回车,放入列表 dataMat.append([1.0, float(lineArr[0]), float(lineArr[1])]) #添加数据 labelMat.append(int(lineArr[2])) #添加标签 fr.close() #关闭文件 return dataMat, labelMat #返回 “”” 函数说明:sigmoid函数 Parameters: inX - 数据 Returns: sigmoid函数 Author: Jack Cui Blog: http://blog.csdn.net/c406495762 Zhihu: https://www.zhihu.com/people/Jack--Cui/ Modify: 2017-08-28 “”” def sigmoid(inX): return 1.0 / (1 + np.exp(-inX)) “”” 函数说明:梯度上升算法 Parameters: dataMatIn - 数据集 classLabels - 数据标签 Returns: weights.getA() - 求得的权重数组(最优参数) Author: Jack Cui Blog: http://blog.csdn.net/c406495762 Zhihu: https://www.zhihu.com/people/Jack--Cui/ Modify: 2017-08-28 “”” def gradAscent(dataMatIn, classLabels): dataMatrix = np.mat(dataMatIn) #转换成numpy的mat labelMat = np.mat(classLabels).transpose() #转换成numpy的mat,并进行转置 m, n = np.shape(dataMatrix) #返回dataMatrix的大小。m为行数,n为列数。 alpha = 0.001 #移动步长,也就是学习速率,控制更新的幅度。 maxCycles = 500 #最大迭代次数 weights = np.ones((n,1)) for k in range(maxCycles): h = sigmoid(dataMatrix weights) #梯度上升矢量化公式 error = labelMat - h weights = weights + alpha dataMatrix.transpose() * error return weights.getA() #将矩阵转换为数组,返回权重数组 if name == ‘main‘: dataMat, labelMat = loadDataSet() print(gradAscent(dataMat, labelMat))
- http://blog.csdn.net/c406495762 Zhihu: https://www.zhihu.com/people/Jack--Cui/ Modify: 2017-08-28 “”” def loadDataSet(): dataMat = [] #创建数据列表 labelMat = [] #创建标签列表 fr = open(‘testSet.txt’) #打开文件 for line in fr.readlines(): #逐行读取 lineArr = line.strip().split() #去回车,放入列表 dataMat.append([1.0, float(lineArr[0]), float(lineArr[1])]) #添加数据 labelMat.append(int(lineArr[2])) #添加标签 fr.close() #关闭文件 return dataMat, labelMat #返回 “”” 函数说明:sigmoid函数 Parameters: inX - 数据 Returns: sigmoid函数 Author: Jack Cui Blog: http://blog.csdn.net/c406495762 Zhihu: https://www.zhihu.com/people/Jack--Cui/ Modify: 2017-08-28 “”” def sigmoid(inX): return 1.0 / (1 + np.exp(-inX)) “”” 函数说明:梯度上升算法 Parameters: dataMatIn - 数据集 classLabels - 数据标签 Returns: weights.getA() - 求得的权重数组(最优参数) Author: Jack Cui Blog: http://blog.csdn.net/c406495762 Zhihu: https://www.zhihu.com/people/Jack--Cui/ Modify: 2017-08-28 “”” def gradAscent(dataMatIn, classLabels): dataMatrix = np.mat(dataMatIn) #转换成numpy的mat labelMat = np.mat(classLabels).transpose() #转换成numpy的mat,并进行转置 m, n = np.shape(dataMatrix) #返回dataMatrix的大小。m为行数,n为列数。 alpha = 0.001 #移动步长,也就是学习速率,控制更新的幅度。 maxCycles = 500 #最大迭代次数 weights = np.ones((n,1)) for k in range(maxCycles): h = sigmoid(dataMatrix weights) #梯度上升矢量化公式 error = labelMat - h weights = weights + alpha dataMatrix.transpose() error return weights.getA() #将矩阵转换为数组,返回权重数组 “”” 函数说明:绘制数据集 Parameters: weights - 权重参数数组 Returns: 无 Author: Jack Cui Blog: http://blog.csdn.net/c406495762 Zhihu: https://www.zhihu.com/people/Jack--Cui/ Modify: 2017-08-30 “”” def plotBestFit(weights): dataMat, labelMat = loadDataSet() #加载数据集 dataArr = np.array(dataMat) #转换成numpy的array数组 n = np.shape(dataMat)[0] #数据个数 xcord1 = []; ycord1 = [] #正样本 xcord2 = []; ycord2 = [] #负样本 for i in range(n): #根据数据集标签进行分类 if int(labelMat[i]) == 1: xcord1.append(dataArr[i,1]); ycord1.append(dataArr[i,2]) #1为正样本 else: xcord2.append(dataArr[i,1]); ycord2.append(dataArr[i,2]) #0为负样本 fig = plt.figure() ax = fig.add_subplot(111) #添加subplot ax.scatter(xcord1, ycord1, s = 20, c = ‘red’, marker = ‘s’,alpha=.5)#绘制正样本 ax.scatter(xcord2, ycord2, s = 20, c = ‘green’,alpha=.5) #绘制负样本 x = np.arange(-3.0, 3.0, 0.1) y = (-weights[0] - weights[1] x) / weights[2] ax.plot(x, y) plt.title(‘BestFit’) #绘制title plt.xlabel(‘X1’); plt.ylabel(‘X2’) #绘制label plt.show() if name == ‘main‘: dataMat, labelMat = loadDataSet() weights = gradAscent(dataMat, labelMat) plotBestFit(weights)">-- coding:UTF-8 -- import matplotlib.pyplot as plt import numpy as np “”” 函数说明:加载数据 Parameters: 无 Returns: dataMat - 数据列表 labelMat - 标签列表 Author: Jack Cui Blog: http://blog.csdn.net/c406495762 Zhihu: https://www.zhihu.com/people/Jack--Cui/ Modify: 2017-08-28 “”” def loadDataSet(): dataMat = [] #创建数据列表 labelMat = [] #创建标签列表 fr = open(‘testSet.txt’) #打开文件 for line in fr.readlines(): #逐行读取 lineArr = line.strip().split() #去回车,放入列表 dataMat.append([1.0, float(lineArr[0]), float(lineArr[1])]) #添加数据 labelMat.append(int(lineArr[2])) #添加标签 fr.close() #关闭文件 return dataMat, labelMat #返回 “”” 函数说明:sigmoid函数 Parameters: inX - 数据 Returns: sigmoid函数 Author: Jack Cui Blog: http://blog.csdn.net/c406495762 Zhihu: https://www.zhihu.com/people/Jack--Cui/ Modify: 2017-08-28 “”” def sigmoid(inX): return 1.0 / (1 + np.exp(-inX)) “”” 函数说明:梯度上升算法 Parameters: dataMatIn - 数据集 classLabels - 数据标签 Returns: weights.getA() - 求得的权重数组(最优参数) Author: Jack Cui Blog: http://blog.csdn.net/c406495762 Zhihu: https://www.zhihu.com/people/Jack--Cui/ Modify: 2017-08-28 “”” def gradAscent(dataMatIn, classLabels): dataMatrix = np.mat(dataMatIn) #转换成numpy的mat labelMat = np.mat(classLabels).transpose() #转换成numpy的mat,并进行转置 m, n = np.shape(dataMatrix) #返回dataMatrix的大小。m为行数,n为列数。 alpha = 0.001 #移动步长,也就是学习速率,控制更新的幅度。 maxCycles = 500 #最大迭代次数 weights = np.ones((n,1)) for k in range(maxCycles): h = sigmoid(dataMatrix weights) #梯度上升矢量化公式 error = labelMat - h weights = weights + alpha dataMatrix.transpose() error return weights.getA() #将矩阵转换为数组,返回权重数组 “”” 函数说明:绘制数据集 Parameters: weights - 权重参数数组 Returns: 无 Author: Jack Cui Blog: http://blog.csdn.net/c406495762 Zhihu: https://www.zhihu.com/people/Jack--Cui/ Modify: 2017-08-30 “”” def plotBestFit(weights): dataMat, labelMat = loadDataSet() #加载数据集 dataArr = np.array(dataMat) #转换成numpy的array数组 n = np.shape(dataMat)[0] #数据个数 xcord1 = []; ycord1 = [] #正样本 xcord2 = []; ycord2 = [] #负样本 for i in range(n): #根据数据集标签进行分类 if int(labelMat[i]) == 1: xcord1.append(dataArr[i,1]); ycord1.append(dataArr[i,2]) #1为正样本 else: xcord2.append(dataArr[i,1]); ycord2.append(dataArr[i,2]) #0为负样本 fig = plt.figure() ax = fig.add_subplot(111) #添加subplot ax.scatter(xcord1, ycord1, s = 20, c = ‘red’, marker = ‘s’,alpha=.5)#绘制正样本 ax.scatter(xcord2, ycord2, s = 20, c = ‘green’,alpha=.5) #绘制负样本 x = np.arange(-3.0, 3.0, 0.1) y = (-weights[0] - weights[1] x) / weights[2] ax.plot(x, y) plt.title(‘BestFit’) #绘制title plt.xlabel(‘X1’); plt.ylabel(‘X2’) #绘制label plt.show() if name == ‘main‘: dataMat, labelMat = loadDataSet() weights = gradAscent(dataMat, labelMat) plotBestFit(weights)
一、前言
本文从Logistic回归的原理开始讲起,补充了书上省略的数学推导。本文可能会略显枯燥,理论居多,Sklearn实战内容会放在下一篇文章。自己慢慢推导完公式,还是蛮开心的一件事。
二、Logistic回归与梯度上升算法
Logistic回归是众多分类算法中的一员。通常,Logistic回归用于二分类问题,例如预测明天是否会下雨。当然它也可以用于多分类问题,不过为了简单起见,本文暂先讨论二分类问题。首先,让我们来了解一下,什么是Logistic回归。
1、Logistic回归
假设现在有一些数据点,我们利用一条直线对这些点进行拟合(该线称为最佳拟合直线),这个拟合过程就称作为回归,如下图所示:
Logistic回归是分类方法,它利用的是Sigmoid函数阈值在[0,1]这个特性。Logistic回归进行分类的主要思想是:根据现有数据对分类边界线建立回归公式,以此进行分类。其实,Logistic本质上是一个基于条件概率的判别模型(Discriminative Model)。
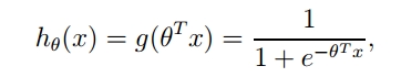
所以要想了解Logistic回归,我们必须先看一看Sigmoid函数 ,我们也可以称它为Logistic函数。它的公式如下:


整合成一个公式,就变成了如下公式:
下面这张图片,为我们展示了Sigmoid函数的样子。
z是一个矩阵,θ是参数列向量(要求解的),x是样本列向量(给定的数据集)。θ^T表示θ的转置。g(z)函数实现了任意实数到[0,1]的映射,这样我们的数据集([x0,x1,…,xn]),不管是大于1或者小于0,都可以映射到[0,1]区间进行分类。hθ(x)给出了输出为1的概率。比如当hθ(x)=0.7,那么说明有70%的概率输出为1。输出为0的概率是输出为1的补集,也就是30%。
如果我们有合适的参数列向量θ([θ0,θ1,…θn]^T),以及样本列向量x([x0,x1,…,xn]),那么我们对样本x分类就可以通过上述公式计算出一个概率,如果这个概率大于0.5,我们就可以说样本是正样本,否则样本是负样本。
举个例子,对于”垃圾邮件判别问题”,对于给定的邮件(样本),我们定义非垃圾邮件为正类,垃圾邮件为负类。我们通过计算出的概率值即可判定邮件是否是垃圾邮件。
那么问题来了!如何得到合适的参数向量θ?
根据sigmoid函数的特性,我们可以做出如下的假设:
式即为在已知样本x和参数θ的情况下,样本x属性正样本(y=1)和负样本(y=0)的条件概率。理想状态下,根据上述公式,求出各个点的概率均为1,也就是完全分类都正确。但是考虑到实际情况,样本点的概率越接近于1,其分类效果越好。比如一个样本属于正样本的概率为0.51,那么我们就可以说明这个样本属于正样本。另一个样本属于正样本的概率为0.99,那么我们也可以说明这个样本属于正样本。但是显然,第二个样本概率更高,更具说服力。我们可以把上述两个概率公式合二为一:
合并出来的Loss,我们称之为损失函数(Loss Function)。当y等于1时,(1-y)项(第二项)为0;当y等于0时,y项(第一项)为0。为s了简化问题,我们对整个表达式求对数,(将指数问题对数化是处理数学问题常见的方法):
这个损失函数,是对于一个样本而言的。给定一个样本,我们就可以通过这个损失函数求出,样本所属类别的概率,而这个概率越大越好,所以也就是求解这个损失函数的最大值。既然概率出来了,那么最大似然估计也该出场了。假定样本与样本之间相互独立,那么整个样本集生成的概率即为所有样本生成概率的乘积,便可得到如下公式:
其中,m为样本的总数,y(i)表示第i个样本的类别,x(i)表示第i个样本,需要注意的是θ是多维向量,x(i)也是多维向量。
综上所述,满足J(θ)的最大的θ值即是我们需要求解的模型。
怎么求解使J(θ)最大的θ值呢?因为是求最大值,所以我们需要使用梯度上升算法。如果面对的问题是求解使J(θ)最小的θ值,那么我们就需要使用梯度下降算法。面对我们这个问题,如果使J(θ) := -J(θ),那么问题就从求极大值转换成求极小值了,使用的算法就从梯度上升算法变成了梯度下降算法,它们的思想都是相同的,学会其一,就也会了另一个。本文使用梯度上升算法进行求解。
2、梯度上升算法
说了半天,梯度上升算法又是啥?J(θ)太复杂,我们先看个简单的求极大值的例子。一个看了就会想到高中生活的函数:
来吧,做高中题。这个函数的极值怎么求?显然这个函数开口向下,存在极大值,它的函数图像为:
求极值,先求函数的导数:
令导数为0,可求出x=2即取得函数f(x)的极大值。极大值等于f(2)=4
但是真实环境中的函数不会像上面这么简单,就算求出了函数的导数,也很难精确计算出函数的极值。此时我们就可以用迭代的方法来做。就像爬坡一样,一点一点逼近极值。这种寻找最佳拟合参数的方法,就是最优化算法。爬坡这个动作用数学公式表达即为:
其中,α为步长,也就是学习速率,控制更新的幅度。效果如下图所示:
比如从(0,0)开始,迭代路径就是1->2->3->4->…->n,直到求出的x为函数极大值的近似值,停止迭代。我们可以编写Python3代码,来实现这一过程:
Python
-- coding:UTF-8 -- “”” 函数说明:梯度上升算法测试函数 求函数f(x) = -x^2 + 4x的极大值 Parameters: 无 Returns: 无 Author: Jack Cui Blog: http://blog.csdn.net/c406495762 Zhihu: https://www.zhihu.com/people/Jack--Cui/ Modify: 2017-08-28 “”” def GradientAscenttest(): def fprime(xold): #f(x)的导数 return -2 x_old + 4 x_old = -1 #初始值,给一个小于x_new的值 x_new = 0 #梯度上升算法初始值,即从(0,0)开始 alpha = 0.01 #步长,也就是学习速率,控制更新的幅度 presision = 0.00000001 #精度,也就是更新阈值 while abs(x_new - x_old) > presision: x_old = x_new x_new = x_old + alpha f_prime(x_old) #上面提到的公式 print(x_new) #打印最终求解的极值近似值 if __name == ‘__main‘: Gradient_Ascent_test()
| 1 2 3 4 5 6 7 8 9 10 11 12 13 14 15 16 17 18 19 20 21 22 23 24 25 26 27 28 29 30 31 32 33 |
# -- coding:UTF-8 -- “”” 函数说明:梯度上升算法测试函数 求函数f(x) = -x^2 + 4x的极大值 Parameters: 无 Returns: 无 Author: Jack Cui Blog: http://blog.csdn.net/c406495762 Zhihu: https://www.zhihu.com/people/Jack--Cui/ Modify: 2017-08-28 “”” defGradientAscenttest(): deffprime(xold): #f(x)的导数 return-2x_old+4 x_old=-1 #初始值,给一个小于x_new的值 x_new=0 #梯度上升算法初始值,即从(0,0)开始 alpha=0.01 #步长,也就是学习速率,控制更新的幅度 presision=0.00000001 #精度,也就是更新阈值 whileabs(x_new-x_old)>presision: x_old=x_new x_new=x_old+alphaf_prime(x_old) #上面提到的公式 print(x_new) #打印最终求解的极值近似值 if__name==’__main‘: Gradient_Ascent_test() |
|---|---|
代码运行结果如下:
结果很显然,已经非常接近我们的真实极值2了。这一过程,就是梯度上升算法。那么同理,J(θ)这个函数的极值,也可以这么求解。公式可以这么写:
由上小节可知J(θ)为:
sigmoid函数为:
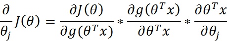
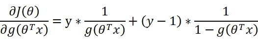
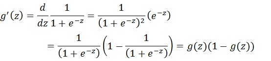
那么,现在我只要求出J(θ)的偏导,就可以利用梯度上升算法,求解J(θ)的极大值了。
那么现在开始求解J(θ)对θ的偏导,求解如下:
其中:
再由:
可得:
接下来,就剩下第三部分:
综上所述:
因此,梯度上升迭代公式为:
知道了,梯度上升迭代公式,我们就可以自己编写代码,计算最佳拟合参数了。
三、Python3实战
1、数据准备
数据集已经为大家准备好,下载地址:数据集下载
这就是一个简单的数据集,没什么实际意义。让我们先从这个简单的数据集开始学习。先看下数据集有哪些数据:
这个数据有两维特征,因此可以将数据在一个二维平面上展示出来。我们可以将第一列数据(X1)看作x轴上的值,第二列数据(X2)看作y轴上的值。而最后一列数据即为分类标签。根据标签的不同,对这些点进行分类。
那么,先让我们编写代码,看下数据集的分布情况:
Python
-- coding:UTF-8 -- import matplotlib.pyplot as plt import numpy as np “”” 函数说明:加载数据 Parameters: 无 Returns: dataMat - 数据列表 labelMat - 标签列表 Author: Jack Cui Blog: http://blog.csdn.net/c406495762 Zhihu: https://www.zhihu.com/people/Jack--Cui/ Modify: 2017-08-28 “”” def loadDataSet(): dataMat = [] #创建数据列表 labelMat = [] #创建标签列表 fr = open(‘testSet.txt’) #打开文件 for line in fr.readlines(): #逐行读取 lineArr = line.strip().split() #去回车,放入列表 dataMat.append([1.0, float(lineArr[0]), float(lineArr[1])]) #添加数据 labelMat.append(int(lineArr[2])) #添加标签 fr.close() #关闭文件 return dataMat, labelMat #返回 “”” 函数说明:绘制数据集 Parameters: 无 Returns: 无 Author: Jack Cui Blog: http://blog.csdn.net/c406495762 Zhihu: https://www.zhihu.com/people/Jack--Cui/ Modify: 2017-08-28 “”” def plotDataSet(): dataMat, labelMat = loadDataSet() #加载数据集 dataArr = np.array(dataMat) #转换成numpy的array数组 n = np.shape(dataMat)[0] #数据个数 xcord1 = []; ycord1 = [] #正样本 xcord2 = []; ycord2 = [] #负样本 for i in range(n): #根据数据集标签进行分类 if int(labelMat[i]) == 1: xcord1.append(dataArr[i,1]); ycord1.append(dataArr[i,2]) #1为正样本 else: xcord2.append(dataArr[i,1]); ycord2.append(dataArr[i,2]) #0为负样本 fig = plt.figure() ax = fig.addsubplot(111) #添加subplot ax.scatter(xcord1, ycord1, s = 20, c = ‘red’, marker = ‘s’,alpha=.5)#绘制正样本 ax.scatter(xcord2, ycord2, s = 20, c = ‘green’,alpha=.5) #绘制负样本 plt.title(‘DataSet’) #绘制title plt.xlabel(‘x’); plt.ylabel(‘y’) #绘制label plt.show() #显示 if name == ‘_main‘: plotDataSet()
| 1 2 3 4 5 6 7 8 9 10 11 12 13 14 15 16 17 18 19 20 21 22 23 24 25 26 27 28 29 30 31 32 33 34 35 36 37 38 39 40 41 42 43 44 45 46 47 48 49 50 51 52 53 54 55 56 57 58 59 60 61 62 63 64 65 66 67 68 69 |
# -- coding:UTF-8 -- importmatplotlib.pyplot asplt importnumpy asnp “”” 函数说明:加载数据 Parameters: 无 Returns: dataMat - 数据列表 labelMat - 标签列表 Author: Jack Cui Blog: http://blog.csdn.net/c406495762 Zhihu: https://www.zhihu.com/people/Jack--Cui/ Modify: 2017-08-28 “”” defloadDataSet(): dataMat=[] #创建数据列表 labelMat=[] #创建标签列表 fr=open(‘testSet.txt’) #打开文件 forline infr.readlines(): #逐行读取 lineArr=line.strip().split() #去回车,放入列表 dataMat.append([1.0,float(lineArr[0]),float(lineArr[1])]) #添加数据 labelMat.append(int(lineArr[2])) #添加标签 fr.close() #关闭文件 returndataMat,labelMat #返回 “”” 函数说明:绘制数据集 Parameters: 无 Returns: 无 Author: Jack Cui Blog: http://blog.csdn.net/c406495762 Zhihu: https://www.zhihu.com/people/Jack--Cui/ Modify: 2017-08-28 “”” defplotDataSet(): dataMat,labelMat=loadDataSet() #加载数据集 dataArr=np.array(dataMat) #转换成numpy的array数组 n=np.shape(dataMat)[0] #数据个数 xcord1=[];ycord1=[] #正样本 xcord2=[];ycord2=[] #负样本 foriinrange(n): #根据数据集标签进行分类 ifint(labelMat[i])==1: xcord1.append(dataArr[i,1]);ycord1.append(dataArr[i,2]) #1为正样本 else: xcord2.append(dataArr[i,1]);ycord2.append(dataArr[i,2]) #0为负样本 fig=plt.figure() ax=fig.addsubplot(111) #添加subplot ax.scatter(xcord1,ycord1,s=20,c=’red’,marker=’s’,alpha=.5)#绘制正样本 ax.scatter(xcord2,ycord2,s=20,c=’green’,alpha=.5) #绘制负样本 plt.title(‘DataSet’) #绘制title plt.xlabel(‘x’);plt.ylabel(‘y’) #绘制label plt.show() #显示 ifname==’_main‘: plotDataSet() |
|---|---|
运行结果如下:
从上图可以看出数据的分布情况。假设Sigmoid函数的输入记为z,那么z=w0x0 + w1x1 + w2x2,即可将数据分割开。其中,x0为全是1的向量,x1为数据集的第一列数据,x2为数据集的第二列数据。另z=0,则0=w0 + w1x1 + w2x2。横坐标为x1,纵坐标为x2。这个方程未知的参数为w0,w1,w2,也就是我们需要求的回归系数(最优参数)。
2、训练算法
在编写代码之前,让我们回顾下梯度上升迭代公式:
将上述公式矢量化:
根据矢量化的公式,编写代码如下:
Python
-- coding:UTF-8 -- import numpy as np “”” 函数说明:加载数据 Parameters: 无 Returns: dataMat - 数据列表 labelMat - 标签列表 Author: Jack Cui Blog: http://blog.csdn.net/c406495762 Zhihu: https://www.zhihu.com/people/Jack--Cui/ Modify: 2017-08-28 “”” def loadDataSet(): dataMat = [] #创建数据列表 labelMat = [] #创建标签列表 fr = open(‘testSet.txt’) #打开文件 for line in fr.readlines(): #逐行读取 lineArr = line.strip().split() #去回车,放入列表 dataMat.append([1.0, float(lineArr[0]), float(lineArr[1])]) #添加数据 labelMat.append(int(lineArr[2])) #添加标签 fr.close() #关闭文件 return dataMat, labelMat #返回 “”” 函数说明:sigmoid函数 Parameters: inX - 数据 Returns: sigmoid函数 Author: Jack Cui Blog: http://blog.csdn.net/c406495762 Zhihu: https://www.zhihu.com/people/Jack--Cui/ Modify: 2017-08-28 “”” def sigmoid(inX): return 1.0 / (1 + np.exp(-inX)) “”” 函数说明:梯度上升算法 Parameters: dataMatIn - 数据集 classLabels - 数据标签 Returns: weights.getA() - 求得的权重数组(最优参数) Author: Jack Cui Blog: http://blog.csdn.net/c406495762 Zhihu: https://www.zhihu.com/people/Jack--Cui/ Modify: 2017-08-28 “”” def gradAscent(dataMatIn, classLabels): dataMatrix = np.mat(dataMatIn) #转换成numpy的mat labelMat = np.mat(classLabels).transpose() #转换成numpy的mat,并进行转置 m, n = np.shape(dataMatrix) #返回dataMatrix的大小。m为行数,n为列数。 alpha = 0.001 #移动步长,也就是学习速率,控制更新的幅度。 maxCycles = 500 #最大迭代次数 weights = np.ones((n,1)) for k in range(maxCycles): h = sigmoid(dataMatrix weights) #梯度上升矢量化公式 error = labelMat - h weights = weights + alpha dataMatrix.transpose() * error return weights.getA() #将矩阵转换为数组,返回权重数组 if name == ‘main‘: dataMat, labelMat = loadDataSet() print(gradAscent(dataMat, labelMat))
| 1 2 3 4 5 6 7 8 9 10 11 12 13 14 15 16 17 18 19 20 21 22 23 24 25 26 27 28 29 30 31 32 33 34 35 36 37 38 39 40 41 42 43 44 45 46 47 48 49 50 51 52 53 54 55 56 57 58 59 60 61 62 63 64 65 66 67 68 69 70 71 72 73 74 75 76 77 78 79 80 81 82 83 84 |
# -- coding:UTF-8 -- importnumpy asnp “”” 函数说明:加载数据 Parameters: 无 Returns: dataMat - 数据列表 labelMat - 标签列表 Author: Jack Cui Blog: http://blog.csdn.net/c406495762 Zhihu: https://www.zhihu.com/people/Jack--Cui/ Modify: 2017-08-28 “”” defloadDataSet(): dataMat=[] #创建数据列表 labelMat=[] #创建标签列表 fr=open(‘testSet.txt’) #打开文件 forline infr.readlines(): #逐行读取 lineArr=line.strip().split() #去回车,放入列表 dataMat.append([1.0,float(lineArr[0]),float(lineArr[1])]) #添加数据 labelMat.append(int(lineArr[2])) #添加标签 fr.close() #关闭文件 returndataMat,labelMat #返回 “”” 函数说明:sigmoid函数 Parameters: inX - 数据 Returns: sigmoid函数 Author: Jack Cui Blog: http://blog.csdn.net/c406495762 Zhihu: https://www.zhihu.com/people/Jack--Cui/ Modify: 2017-08-28 “”” defsigmoid(inX): return1.0/(1+np.exp(-inX)) “”” 函数说明:梯度上升算法 Parameters: dataMatIn - 数据集 classLabels - 数据标签 Returns: weights.getA() - 求得的权重数组(最优参数) Author: Jack Cui Blog: http://blog.csdn.net/c406495762 Zhihu: https://www.zhihu.com/people/Jack--Cui/ Modify: 2017-08-28 “”” defgradAscent(dataMatIn,classLabels): dataMatrix=np.mat(dataMatIn) #转换成numpy的mat labelMat=np.mat(classLabels).transpose() #转换成numpy的mat,并进行转置 m,n=np.shape(dataMatrix) #返回dataMatrix的大小。m为行数,n为列数。 alpha=0.001 #移动步长,也就是学习速率,控制更新的幅度。 maxCycles=500 #最大迭代次数 weights=np.ones((n,1)) forkinrange(maxCycles): h=sigmoid(dataMatrixweights) #梯度上升矢量化公式 error=labelMat-h weights=weights+alphadataMatrix.transpose()*error returnweights.getA() #将矩阵转换为数组,返回权重数组 ifname==’main‘: dataMat,labelMat=loadDataSet() print(gradAscent(dataMat,labelMat)) |
|---|---|
运行结果如图所示:
可以看出,我们已经求解出回归系数[w0,w1,w2]。
通过求解出的参数,我们就可以确定不同类别数据之间的分隔线,画出决策边界。
3、绘制决策边界
我们已经解出了一组回归系数,它确定了不同类别数据之间的分隔线。现在开始绘制这个分隔线,编写代码如下:
Python
-- coding:UTF-8 -- import matplotlib.pyplot as plt import numpy as np “”” 函数说明:加载数据 Parameters: 无 Returns: dataMat - 数据列表 labelMat - 标签列表 Author: Jack Cui Blog: http://blog.csdn.net/c406495762 Zhihu: https://www.zhihu.com/people/Jack--Cui/ Modify: 2017-08-28 “”” def loadDataSet(): dataMat = [] #创建数据列表 labelMat = [] #创建标签列表 fr = open(‘testSet.txt’) #打开文件 for line in fr.readlines(): #逐行读取 lineArr = line.strip().split() #去回车,放入列表 dataMat.append([1.0, float(lineArr[0]), float(lineArr[1])]) #添加数据 labelMat.append(int(lineArr[2])) #添加标签 fr.close() #关闭文件 return dataMat, labelMat #返回 “”” 函数说明:sigmoid函数 Parameters: inX - 数据 Returns: sigmoid函数 Author: Jack Cui Blog: http://blog.csdn.net/c406495762 Zhihu: https://www.zhihu.com/people/Jack--Cui/ Modify: 2017-08-28 “”” def sigmoid(inX): return 1.0 / (1 + np.exp(-inX)) “”” 函数说明:梯度上升算法 Parameters: dataMatIn - 数据集 classLabels - 数据标签 Returns: weights.getA() - 求得的权重数组(最优参数) Author: Jack Cui Blog: http://blog.csdn.net/c406495762 Zhihu: https://www.zhihu.com/people/Jack--Cui/ Modify: 2017-08-28 “”” def gradAscent(dataMatIn, classLabels): dataMatrix = np.mat(dataMatIn) #转换成numpy的mat labelMat = np.mat(classLabels).transpose() #转换成numpy的mat,并进行转置 m, n = np.shape(dataMatrix) #返回dataMatrix的大小。m为行数,n为列数。 alpha = 0.001 #移动步长,也就是学习速率,控制更新的幅度。 maxCycles = 500 #最大迭代次数 weights = np.ones((n,1)) for k in range(maxCycles): h = sigmoid(dataMatrix weights) #梯度上升矢量化公式 error = labelMat - h weights = weights + alpha dataMatrix.transpose() error return weights.getA() #将矩阵转换为数组,返回权重数组 “”” 函数说明:绘制数据集 Parameters: weights - 权重参数数组 Returns: 无 Author: Jack Cui Blog: http://blog.csdn.net/c406495762 Zhihu: https://www.zhihu.com/people/Jack--Cui/ Modify: 2017-08-30 “”” def plotBestFit(weights): dataMat, labelMat = loadDataSet() #加载数据集 dataArr = np.array(dataMat) #转换成numpy的array数组 n = np.shape(dataMat)[0] #数据个数 xcord1 = []; ycord1 = [] #正样本 xcord2 = []; ycord2 = [] #负样本 for i in range(n): #根据数据集标签进行分类 if int(labelMat[i]) == 1: xcord1.append(dataArr[i,1]); ycord1.append(dataArr[i,2]) #1为正样本 else: xcord2.append(dataArr[i,1]); ycord2.append(dataArr[i,2]) #0为负样本 fig = plt.figure() ax = fig.add_subplot(111) #添加subplot ax.scatter(xcord1, ycord1, s = 20, c = ‘red’, marker = ‘s’,alpha=.5)#绘制正样本 ax.scatter(xcord2, ycord2, s = 20, c = ‘green’,alpha=.5) #绘制负样本 x = np.arange(-3.0, 3.0, 0.1) y = (-weights[0] - weights[1] x) / weights[2] ax.plot(x, y) plt.title(‘BestFit’) #绘制title plt.xlabel(‘X1’); plt.ylabel(‘X2’) #绘制label plt.show() if name == ‘main‘: dataMat, labelMat = loadDataSet() weights = gradAscent(dataMat, labelMat) plotBestFit(weights)
| 1 2 3 4 5 6 7 8 9 10 11 12 13 14 15 16 17 18 19 20 21 22 23 24 25 26 27 28 29 30 31 32 33 34 35 36 37 38 39 40 41 42 43 44 45 46 47 48 49 50 51 52 53 54 55 56 57 58 59 60 61 62 63 64 65 66 67 68 69 70 71 72 73 74 75 76 77 78 79 80 81 82 83 84 85 86 87 88 89 90 91 92 93 94 95 96 97 98 99 100 101 102 103 104 105 106 107 108 109 110 111 112 113 114 115 116 117 118 119 120 121 122 123 124 |
# -- coding:UTF-8 -- importmatplotlib.pyplot asplt importnumpy asnp “”” 函数说明:加载数据 Parameters: 无 Returns: dataMat - 数据列表 labelMat - 标签列表 Author: Jack Cui Blog: http://blog.csdn.net/c406495762 Zhihu: https://www.zhihu.com/people/Jack--Cui/ Modify: 2017-08-28 “”” defloadDataSet(): dataMat=[] #创建数据列表 labelMat=[] #创建标签列表 fr=open(‘testSet.txt’) #打开文件 forline infr.readlines(): #逐行读取 lineArr=line.strip().split() #去回车,放入列表 dataMat.append([1.0,float(lineArr[0]),float(lineArr[1])]) #添加数据 labelMat.append(int(lineArr[2])) #添加标签 fr.close() #关闭文件 returndataMat,labelMat #返回 “”” 函数说明:sigmoid函数 Parameters: inX - 数据 Returns: sigmoid函数 Author: Jack Cui Blog: http://blog.csdn.net/c406495762 Zhihu: https://www.zhihu.com/people/Jack--Cui/ Modify: 2017-08-28 “”” defsigmoid(inX): return1.0/(1+np.exp(-inX)) “”” 函数说明:梯度上升算法 Parameters: dataMatIn - 数据集 classLabels - 数据标签 Returns: weights.getA() - 求得的权重数组(最优参数) Author: Jack Cui Blog: http://blog.csdn.net/c406495762 Zhihu: https://www.zhihu.com/people/Jack--Cui/ Modify: 2017-08-28 “”” defgradAscent(dataMatIn,classLabels): dataMatrix=np.mat(dataMatIn) #转换成numpy的mat labelMat=np.mat(classLabels).transpose() #转换成numpy的mat,并进行转置 m,n=np.shape(dataMatrix) #返回dataMatrix的大小。m为行数,n为列数。 alpha=0.001 #移动步长,也就是学习速率,控制更新的幅度。 maxCycles=500 #最大迭代次数 weights=np.ones((n,1)) forkinrange(maxCycles): h=sigmoid(dataMatrixweights) #梯度上升矢量化公式 error=labelMat-h weights=weights+alphadataMatrix.transpose()error returnweights.getA() #将矩阵转换为数组,返回权重数组 “”” 函数说明:绘制数据集 Parameters: weights - 权重参数数组 Returns: 无 Author: Jack Cui Blog: http://blog.csdn.net/c406495762 Zhihu: https://www.zhihu.com/people/Jack--Cui/ Modify: 2017-08-30 “”” defplotBestFit(weights): dataMat,labelMat=loadDataSet() #加载数据集 dataArr=np.array(dataMat) #转换成numpy的array数组 n=np.shape(dataMat)[0] #数据个数 xcord1=[];ycord1=[] #正样本 xcord2=[];ycord2=[] #负样本 foriinrange(n): #根据数据集标签进行分类 ifint(labelMat[i])==1: xcord1.append(dataArr[i,1]);ycord1.append(dataArr[i,2]) #1为正样本 else: xcord2.append(dataArr[i,1]);ycord2.append(dataArr[i,2]) #0为负样本 fig=plt.figure() ax=fig.add_subplot(111) #添加subplot ax.scatter(xcord1,ycord1,s=20,c=’red’,marker=’s’,alpha=.5)#绘制正样本 ax.scatter(xcord2,ycord2,s=20,c=’green’,alpha=.5) #绘制负样本 x=np.arange(-3.0,3.0,0.1) y=(-weights[0]-weights[1]x)/weights[2] ax.plot(x,y) plt.title(‘BestFit’) #绘制title plt.xlabel(‘X1’);plt.ylabel(‘X2’) #绘制label plt.show() ifname==’main‘: dataMat,labelMat=loadDataSet() weights=gradAscent(dataMat,labelMat) plotBestFit(weights) |
|---|---|
运行结果如下:
这个分类结果相当不错,从上图可以看出,只分错了几个点而已。但是,尽管例子简单切数据集很小,但是这个方法却需要大量的计算(300次乘法)。因此下篇文章将对改算法稍作改进,从而减少计算量,使其可以应用于大数据集上。
四、总结
Logistic回归的一般过程:
- 收集数据:采用任意方法收集数据。
- 准备数据:由于需要进行距离计算,因此要求数据类型为数值型。另外,结构化数据格式则最佳。
- 分析数据:采用任意方法对数据进行分析。
- 训练算法:大部分时间将用于训练,训练的目的是为了找到最佳的分类回归系数。
- 测试算法:一旦训练步骤完成,分类将会很快。
- 使用算法:首先,我们需要输入一些数据,并将其转换成对应的结构化数值;接着,基于训练好的回归系数,就可以对这些数值进行简单的回归计算,判定它们属于哪个类别;在这之后,我们就可以在输出的类别上做一些其他分析工作。
其他:
- Logistic回归的目的是寻找一个非线性函数Sigmoid的最佳拟合参数,求解过程可以由最优化算法完成。
- 本文讲述了Logistic回归原理以及数学推导过程。
- 下篇文章将讲解Logistic回归的改进以及Sklearn实战内容。
- 如有问题,请留言。如有错误,还望指正,谢谢!
PS: 如果觉得本篇本章对您有所帮助,欢迎关注、评论、赞!
本文出现的所有代码和数据集,均可在我的github上下载,欢迎Follow、Star:https://github.com/Jack-Cherish/Machine-Learning
参考文献:
- 斯坦福大学的吴恩达《机器学习》:https://www.coursera.org/learn/machine-learning
- 《机器学习实战》第五章内容
