堆原理)
- 堆(Heap)就是为了实现优先队列而设计的一种数据结构,它是通过构造二叉堆(二叉树的一种)实现。根节点最大的堆叫做最大堆或大根堆(SplMaxHeap),根节点最小的堆叫做最小堆或小根堆(SplMinHeap)。二叉堆还常用于排序(堆排序)
extract 出队更为友好,即始终返回优先级最高的元素,优先级相投时会以堆调整的特性返回数据。 注意,因为是堆实现,所以rewind方法是一个no-op没有什作用的操作,因为头指针始终指向堆顶,即current始终等于top,不像List只是游走指针,出队是会删除堆元素的,extract=current + next(current出队,从堆中删除)—- 类似于pop和shift
- 节点与它的父节点和子节点在数组中的位置关系:
- 公式:
- parent(index) = floor((index - 1)/2)
- left(index) = 2index + 1
- right(index) = 2index + 2
- 公式:
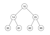
如:[ 10, 14, 25, 33, 81, 82, 99 ]。元素个数为7 so下面索引<=6才有子节点,所以 33, 81, 82, 99 无子节点
| Node | index | Parent index | Left child | Right child |
|---|---|---|---|---|
| 10 | 0 | -1(不是有效索引so无父节点) | 1 | 2 |
| 14 | 1 | 0 | 3 | 4 |
| 25 | 2 | 0 | 5 | 6 |
| 33 | 3 | 1 | 7 | 8 |
| 81 | 4 | 1 | 9 | 10 |
| 82 | 5 | 2 | 11 | 12 |
| 99 | 6 | 2 | 13 | 14 |

方法
<?phpabstract SplHeap implements Iterator , Countable {/* 方法 */public __construct ( void )abstract protected compare ( mixed $value1 , mixed $value2 ) : int //比较元素,以便在筛选时将它们正确地放在堆中,如果value1大于value2则为正整数,如果相等则为0,否则为负整数public count ( void ) : int //返回元素的个数 Countablepublic current ( void ) : mixed //返回当前记录节点索引的值 超出范围返回空 Iteratorpublic extract ( void ) : mixed //从堆顶部提取节点并进行筛选public insert ( mixed $value ) : void //通过筛选将一个元素插入堆中public isCorrupted ( void ) : bool //判断堆是否处于损坏状态public isEmpty ( void ) : bool //检查堆是否为空public key ( void ) : mixed //返回当前节点索引 Iteratorpublic next ( void ) : void //移动到下一个节点 Iteratorpublic recoverFromCorruption ( void ) : void //从损坏的状态恢复并允许堆上的进一步操作public rewind ( void ) : void //将指针指向迭代开始处 Iteratorpublic top ( void ) : mixed //返回堆顶部的节点public valid ( void ) : bool //检查堆是否还有节点 Iterator}
