1.速率:计算机网络中最重要的一个性能指标,指的是数据的传送速率,它也称为数据率 (data rate) 或比特率 (bit rate)。
- 比特(bit)是计算机中数据量的单位,也是信息论中使用的信息量的单位
- 一个比特就是二进制数字中的一个 1 或 0。
- 速率的单位是 bit/s,或 kbit/s、Mbit/s、 Gbit/s等。 例如4 1010 bit/s 的数据率就记为 40 Gbit/s。
- 速率往往是指额定速率或标称速率,非实际运行速率。
2.带宽:在计算机网络中,带宽用来表示网络中某通道传送数据的能力
- 数据通信领域中,数字信道所传送的最高数据率。单位是b/s,kb/s,Mb/s,Gb/s
- 在时间轴上信号的宽度随带宽的增大而变窄。

3.吞吐量:在单位时间内通过某个网络(或信道、接口)的数据量。单位是b/s,Mb/s等
4.时延:数据在网络中经历的总时延就是发送时延、传播时延、处理时延和排队时延之和
总时延 = 发送时延 + 传播时延 + 处理时延 + 排队时延
- 发送时延:主机或者路由器发送数据帧所需要的时间
- 公式:发送时延 = 数据帧长度(bit) / 发送速率(bit/s)
- 传播时延:电磁波在信道中传播一定的距离所花费的时间。
- 公式:传播时延 = 信道长度(m) / 电磁波在信道上的传播速率(m/s)
- 处理时延:主机或路由器在收到分组时要花费一定的时间进行处理
- 排队时延:分组在经过网络传输时,要经过许多路由器。分组进入路由器后要现在输入队列中进行排队等待处理

容易产生的错误概念:
- 对于高速网络链路,我们提高的仅仅是数据的发送速率而不是比特在链路上的传播速率
- 提高链路带宽减小了数据的发送时延
5.时延带宽积:把网络性能的两个度量:传播时延和带宽相乘,得到一个很有用的度量:传播时延带宽积
传播时延带宽积 = 传播时延 ✖️ 带宽
对于一条正在传输数据的链路,只有代表链路的管道都充满比特时,链路才得以充分利用
管道的长度是链路的传播时延,管道的横截面积是链路的带宽。因此时延带宽积就表示整个管道的体积,表示这样的链路可以容纳多少个比特。例如某段链路的传播时延为20ms,带宽为10Mb/s,算出
时延带宽积 = 20 x 10-3 x 10 x 106 = 2 x 105 bit, 这就表明若发送段连续发送数据,则在发送的第一个比特即将达到终点时,发送端就已经发送了20万个比特,而这20万个比特都正在链路上向前移动。链路的时延带宽积又称为以比特为单位的链路长度
6.往返时间RTT:
- 往返时间RTT(Round Trip Time),互联网上的信息不仅仅是单方向传输而是双向交互的。
- 表示从发送方发送数据开始,到发送方收到来自接收方的确认,总共经历的时间。
- 在互联网中,往返时间还包括各中间节点的处理时延、排队时延以及转发数据时的发送时延
- 当使用卫星通信时,往返时间RTT相对较长,是很重要的一个性能指标
例如:A往B发送数据,如果数据长度是100MB,发送速率是100Mbit/s,那么,
如果B正确接受完100MB数据后,就立刻向A发送确认。再假定A只有在收到B的确认信息后,才能继续向B发送数据。显然这需要等待一个往返时间RTT(这里假定确认信息很短,可忽略B发送确认的时间。)如果RTT= 2s,那么可以算出A向B发送数据的有效数据率
比原来数据率100Mbit/s小不少
7.利用率:有信道利用率和网络利用率两种
信道利用率:
- 信道利用率指出某信道是有百分之几是被利用(有数据通过)。
- 完全空闲的信道利用率是零。
信道利用率 = 有数据通过时间 / (有 + 无)数据通过时间
- 信道利用率并非越高越好。当某信道的利用率增大时,该信道引起的时延也就是迅速增加。
网络利用率:全网络的信道利用率的加权平均值。
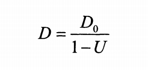
时延和网络利用率的关系

D0表示网络空闲时的时延
D 表示当前网络的时延
U 表示信道利用率

信道或网络的利用率高会产生非常大的时延
