Problem
源地址: https://leetcode.com/problems/swap-nodes-in-pairs/
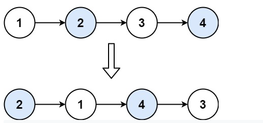
Given a linked list, swap every two adjacent nodes and return its head. You must solve the problem without modifying the values in the list’s nodes (i.e., only nodes themselves may be changed.)
Example

Input: head = [1,2,3,4]Output: [2,1,4,3]
Input: head = []
Output: []
Input: head = [1]
Output: [1]
Solution
递归方式
var swapPairs = function(head) { if(!head || !head.next) return head let temp = head.val head.val = head.next.val head.next.val = temp swapPairs(head.next.next) return head };生成新链表
var swapPairs = function (head) { if (!head) { return null; } let res = { val: head.val, next: null }; let tail = res; let next = head.next; let swap = true while(next) { if (swap) { const tailVal = tail.val; const tailNext = tail.next; tail.val = next.val; tail.next = { val: tailVal, next: tailNext } } else { tail.next = { val: next.val, next: null } } tail = tail.next; next = next.next; swap = !swap; } return res; };
