本文只记录常用不易记的Latex公式写法
初学者请见详细文档:一份不太简短的 LATEX2e 介绍.pdf
常用语法
常用格式
- 指数和下标可以用^和_后加相应字符来实现。比如:

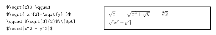
- 平方根(square root)的输入命令为:\sqrt,n 次方根相应地为: \sqrt[n]。方根符号的大小由LATEX自动加以调整。也可用\surd 仅给出
符号。比如:
- 命令\overline 和\underline 在表达式的上、下方画出水平线。比如:

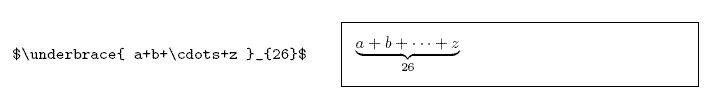
- 命令\overbrace 和\underbrace 在表达式的上、下方给出一水平的大括号。

- 向量(Vectors)通常用上方有小箭头(arrow symbols)的变量表示。这可由\vec 得到。另两个命令\overrightarrow 和\overleftarrow在定义从A 到B 的向量时非常有用。

- 分数(fraction)使用\frac{…}{…} 排版。一般来说,1/2 这种形式更受欢迎,因为对于少量的分式,它看起来更好些。

- 积分运算符(integral operator)用\int 来生成。求和运算符(sum operator)由\sum 生成。乘积运算符(product operator)由\prod 生成。上限和下限用^ 和_来生成,类似于上标和下标。
数学字母
数学符号表
数学符号字体(斜体加粗)
\boldsymbol{A}
运算符

特殊格式
多行类
分数导致字母太小
在LaTeX中若用\frac有时会导致字母显示出来很小,解决方案是使用\dfrac。
其中\dfrac即为\displaystyle\frac的意思;
x_1^*=\dfrac{a_{22}r_1-a_{12}r_2}{a_{11}a_{22}-a_{12}a_{21}}
多行方程组对齐
\begin{cases}a_{11}x_1&+&a_{12}x_2&+&\cdots&+a_{1n}x_n&=&b_1\\&&&&\vdots\\a_{n1}x_1&+&a_{n2}x_2&+&\cdots&+a_{nn}x_n&=&b_n&\end{cases}
多行公式等号对齐
\begin{eqnarray}f(x,y)&=&2xy+(x-y)^2\\&=&x^2+y^2\end{eqnarray
大括号右多行赋值
方法1:用 array
\left\{\begin{array}{cc}1, & x=f(Pa_{x})\\0, & other\ values\end{array}\right.
方法2:用 cases
P(x|Pa_x)=\begin{cases}1, & x=f(Pa_{x})\\0, & other\ values\end{cases}
注:& 可以用来对齐的。
矩阵
\left(\begin{array}{ccccc}1 & 2 & 3 & 4 & 5\\3 & 4 & 5 & 6 & 7\end{array}\right)
或将上述表示五列的{ccccc}换成表示两行的{ll}
求和类
求和符号上下限位置
- 默认情况下(语雀默认不同) :
- 默认行内公式
$\sum_{k=1}^n{x_k}$的上下限标注在右侧: - 默认行间公式
$$\sum_{k=1}^n{x_k}$$上下限标注在上下:
- 默认行内公式
- 可强制修改:
- 强制行内公式
$\sum\limits_{k=1}^n{x_k}$的上9下限标注在上下: - 强制行间公式
$$\sum\nolimits_{k=1}^n{x_k}$$上下限标注在右侧:
- 强制行内公式
求和符号下多行限制条件
\prod_{k_0,k_1,\ldots>0\atopk_0+k_1+\cdots=n}{A_{k_0}A_{k_0}\cdots$}
条件偏导
\left.\frac{\partial f(x,y)}{\partial x}\right|_{x=0}
空白
两个quad空格 a \qquad b abab 两个m的宽度
quad空格 a \quad b abab 一个m的宽度
大空格 a\ b a ba b 1/3m宽度
中等空格 a\;b abab 2/7m宽度
小空格 a\,b abab 1/6m宽度
没有空格 ab abab 正常宽度
紧贴 a!b abab 缩进1/6m宽度
