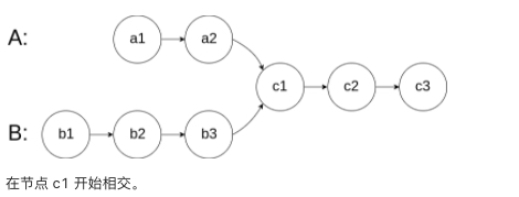
输入两个链表,找出它们的第一个公共节点。示例1 
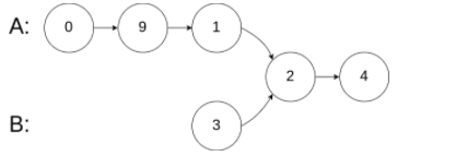
示例2
在节点 2 处相交。
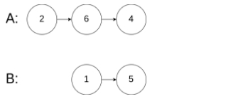
示例3 
没有相遇则返回 null
注意:
- 如果两个链表没有交点,返回
null. - 在返回结果后,两个链表仍须保持原有的结构.
- 可假定整个链表结构中没有循环
- 程序尽量满足
O(n)的时间复杂度,且仅用O(1)的内存
此题使用 双指针 法,使用两个指针 node1 和 node2 从两个链表头节点处依次遍历两个链表,当 node1 到达 链表1 尾节点则返回到 链表2 头节点处重新遍历,当 node2 到达 链表2 尾节点处则回到 链表1 头节点处重新遍历,直至两个指针相遇则是公共节点。
假设链表1的长度是 m+p ,链表2的长度是 n+p 其中 p 是公共长度,那么如果让 node1 走完自己再走别人的路那么总长度是 m+n+p 同理对 node2 也一样,最终两个指针都是走了 m+n+p 的长度,那么就一定会在第一个公共节点处相遇。
/*** Definition for singly-linked list.* struct ListNode {* int val;* struct ListNode *next;* };*/struct ListNode *getIntersectionNode(struct ListNode *headA, struct ListNode *headB) {struct ListNode *node1 = headA;struct ListNode *node2 = headB;while (node1 != node2) {node1 = node1 != NULL? node1->next:headB;node2 = node2 != NULL? node2->next:headA;}return node1;}
