高等数学·下册 第七版 by 同济大学数学系 第9章第10节
    对实验数据进行拟合时,设线性函数的参数为a和b(最小二乘法(应用线性回归) - 图1),我们希望拟合函数值与实际值的偏差越小越好,记偏差为M。
    为了便于讨论,M用平方的形式而不是绝对值的形式表示。
    最小二乘法(应用线性回归) - 图2
    M(a,b)看作是关于a,b的二元函数,当M在a,b取得最小值时,即误差最小。

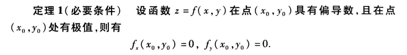
    根据多元函数极值的必要条件,
    image.png
    image.png

    求函数M(a,b)在哪些点取得最小值,求出对应的解(a,b)
    image.png