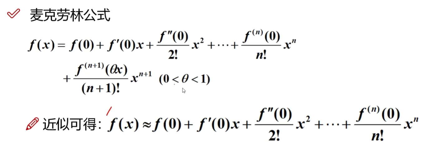
泰勒公式的目的有3个:
    1.用简单的熟悉的多项式来近似代替复杂的函数
    2.易计算函数值,导数与积分仍是多项式
    3.多项式由它的系数完全确定,其系数又由它在一点的函数值及其导数所确定

    image.png
    image.png
    image.png