1.自顶向下
(1)找完数
例题:找1000之内的完数。完数x满足:x等于它的因子之和(因子不包含自身,但包含1)
//当fact[j]为最后一个数时输出=,其他都输出+
(2)求鞍点



2.巧用数组元素做计数器
(1)统计选票
(2)统计身高
(3)统计数字对出现次数
3.使用数组元素存储基本信息
(1)将编号翻译为英文
4.数组做大量标记
(1)求x,使得x的各位数字均不相同
5.大整数的存储及运算
(1)求100!
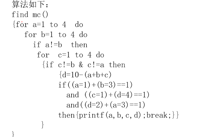
6.利用编码进行简单推理
(1)警察抓小偷
(2)名次预测


(3)判断是否能被3,5,7整除








