公司出台了一项新政策,后面的面试都需要候选人进行实际编码,可以是算法题,也可以是业务架构类题,反正面试的结果中得有代码产出。对于众多像我这样平庸的一面面试官来说,leetcode上随便扒一道算法题或许就是最简单的应对措施了。
恰巧曾经在某个技术论坛上看到过一段话:“反转链表这道题目,看似简单,实际上能好好写出来的人没几个。”抱着将信将疑的态度,我连续三次将这道题目作为候选人的一面算法题,结果确实不假。
第一位候选人磨了很久,最终写完后,连编译都没有通过。第二位同学可能是有算法底子,很快写出了迭代解法。第三位同学没有用传统的迭代或递归,而是用空间换时间,以一种类似暴力的解法解了出来,我觉得他属于出奇制胜的类型。
其实之前我也做过这道题目,对于不常写算法的同学来说,确实比较难解。下面就来讨论一下反转链表的三种解法:暴力、迭代、递归。
1. 题目
首先来看下 leetcode 上的原题:反转链表。
定义一个函数,输入一个链表的头节点,反转该链表并输出反转后链表的头节点。
示例:
输入: 1->2->3->4->5->NULL输出: 5->4->3->2->1->NULL
链表节点的数据结构为:
public class ListNode {
int val;
ListNode next;
ListNode(int x) { val = x; }
}
2. 解法1:暴力
我不知道这算不算暴力,我觉得挺暴力的。第三位候选人的思路是以时间换空间,先把所有节点存储在列表中,然后反向遍历,同时更改链表节点的 next 属性,最后返回。
2.1 代码实现
其代码实现如下:
public static ListNode reverseList(ListNode head) {
// 先定义一个初始节点,最终应返回该节点的 next 节点
ListNode result = new ListNode(0);
ListNode cur = head;
ListNode temp = result;
// 缓存链表中的每一个节点
List<ListNode> list = new ArrayList<>();
while (cur != null) {
list.add(cur);
cur = cur.next;
}
// 反向遍历
for (int i = list.size() - 1; i >= 0; i--) {
ListNode node = list.get(i);
// 新建节点,修改引用关系
temp.next = new ListNode(node.val);
temp = temp.next;
}
return result.next;
}
这种解法值得一提的就是用空间换时间,在反向遍历过程中,通过 new 一个新的 ListNode 节点来承载原来节点的 val 属性,next 属性在下一次循环中进行变更,同时使用 new 新的 ListNode 节点也可以也可以较好的解决迭代法中较难理解的变更指针问题。
时间复杂度:O(n),空间复杂度:O(n),对链表进行2次循环。
该解法在 leetcode 上的执行结果如下:

2.2 图解
我们用图的方式来分析一下反向遍历中每一次循环节点的对应关系:
开始循环前,上方为暂存于 list 列表的 ListNode 节点,下方是准备返回的 result 链表,初始节点为0。

第1次循环,从 list 列表的最后一个元素5开始遍历,新建一个 ListNode 节点,val 值为5,暂未指定 next 属性,将 temp 节点的 next 属性指向新建的节点,然后 temp 节点向后移动一位(temp = temp.next)。

第2次循环,遍历到 list 列表的倒数第二个元素4,新建一个 ListNode 节点,val 值为4,将 temp 的 next 属性指向新建的节点,然后 temp 节点向后移动一位。

第3次循环,遍历到 list 列表的倒数第三个元素3,新建一个 ListNode 节点,val 值为3,将 temp 的 next 属性指向新建的节点,然后 temp 节点向后移动一位。

第4次循环,遍历到 list 列表的倒数第四个元素2,新建一个 ListNode 节点,val 值为2,将 temp 的 next 属性指向新建的节点,然后 temp 节点向后移动一位。

第5次循环,遍历到 list 列表的倒数第五个元素1,新建一个 ListNode 节点,val 值为2,将 temp 的 next 属性指向新建的节点,然后 temp 节点向后移动一位。

最后,遍历结束,返回 result 对象的 next 属性,将下方链表中值为 0 的后一位对应的链表作为返回,最终完成了链表的反转。
3. 解法2:迭代
第二种解法是迭代法,其实也用到了双指针。在进行链表遍历时,借助双指针修改各节点的地址指向。
3.1 代码实现
其代码实现如下:
public ListNode reverseList(ListNode head) {
ListNode cur = head;
ListNode pre = null;
while(cur != null) {
// temp 暂存 cur.next,防止后继节点在 cur.next 地址变更后从循环中消失
ListNode temp = cur.next;
// 修改 cur.next 引用指向
cur.next = pre;
// pre 暂存当前遍历节点 cur
pre = cur;
// cur 访问下一节点,使得循环向下一节点进行
cur = temp;
}
return pre;
}
迭代法是比较通用的解法,但是它比较难想,如果对链表不甚了解的同学很难想出这样的解法。
时间复杂度:O(n),空间复杂度:O(1),对链表进行1次循环。
该解法在 leetcode 上的执行结果如下:

3.2 图解
我们用图的方式来分析一下反向遍历中每一次循环节点的对应关系。
开始循环前,声明两个“指针”,一个 cur 节点指向头节点 head,另一个 pre 节点为 null,也可以把它看成是尾节点指向的位置,表示当前节点的前继节点。

第1次循环,cur 节点为头节点,即值为1的节点。声明一个新的变量 temp 用于暂存链表的后继节点,防止在双指针变更指向时丢失后继链表,然后将 cur 节点的后继节点改为 pre。此时指针指向变更完成,将 cur 与 pre 向后移动一位,先将 pre 赋值为 cur,再将 cur 赋值为之前暂存原始链表第二个节点的 temp 变量。
至此,第一次循环结束,此时链表及双指针状态如下:

第2次循环,cur 节点是值为2的节点,将 cur 后继节点赋值给变量 temp,然后将然后将 cur 节点的后继节点改为 pre,然后将 cur 与 pre 向后移动一位,先将 pre 赋值为 cur,再将 cur 赋值为之前暂存原始链表第二个节点的 temp 变量。
至此,第二次循环结束,此时链表及双指针状态如下:

同样道理,第3次循环结束后,链表状态、各指针地址如下:

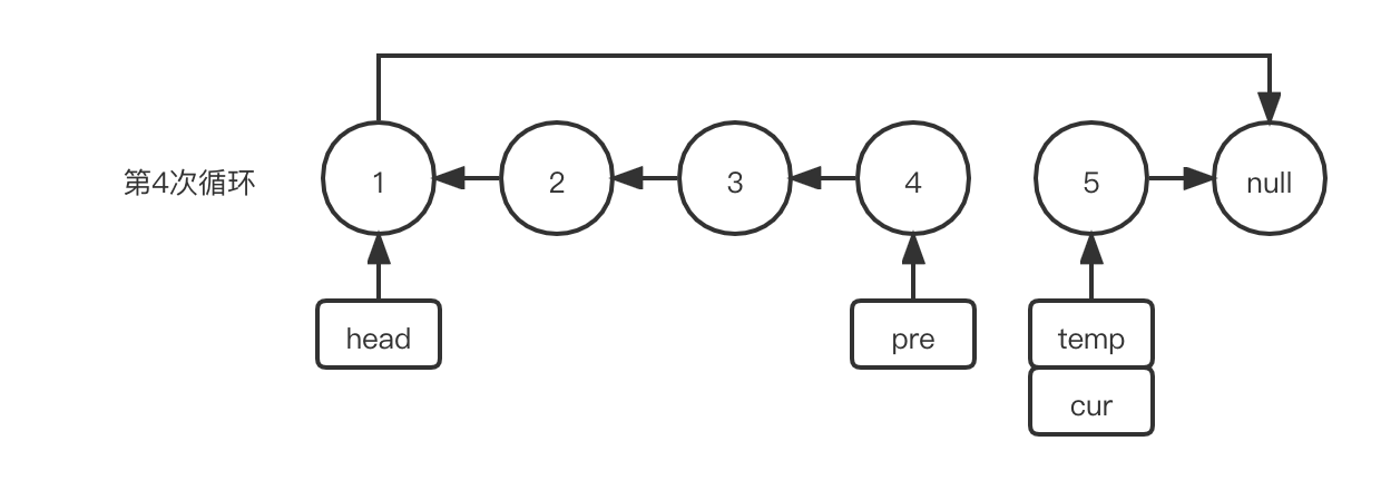
第4次循环结束后,链表状态、各指针地址如下:

第5次循环结束后,链表状态、各指针地址如下:

最后,cur 为 null,循环结束,返回 pre 对象,完成了链表的反转。
4. 解法3:递归
第三种解法是递归法,这种解法更难想到,本人不才,也是看了 leetcode 的题解和图解才看懂的。
递归中最重要的就是找到递归的终止条件以及对节点的处理,在反转链表中前者无疑是当节点为空时终止递归,后者的要点就是将当前节点的后继节点改为前继节点就可以。
4.1 代码实现
其代码实现如下:
public ListNode reverseList(ListNode head) {
return recur(head, null); // 调用递归并返回
}
private ListNode recur(ListNode cur, ListNode pre) {
if (cur == null) return pre; // 终止条件
ListNode res = recur(cur.next, cur); // 递归后继节点
cur.next = pre; // 修改节点引用指向
return res; // 返回反转链表的头节点
}
时间复杂度:O(n),空间复杂度:O(N),对链表进行1次循环。
3.2 图解
递归法图解在 leetcode 上排行第二的精选题解的 PPT 图解就描绘得十分清楚明白,这里就不再继续画了,没别的,主要是画这图解挺费时间的。
总结一下,递归就是:看着挺简单的,想出来挺难的,复杂度也挺高的。
5. 小结
本文总结了反转链表的暴力、迭代、递归三种解法,并作出图解。反转链表这道题,解出来其实不复杂,就是迭代、递归这种基于链表的“指针”式处理比较烧脑。
总的来说,算法还是不能丢!
最后,本文收录于个人语雀知识库: 我所理解的后端技术,欢迎来访。

