Learn
有没有人一起从零开始刷力扣
并查集
动态规划
Array
Linklist
Stack
Queue
Tree
Graph
Greedy
Divide and conquer
Recursive(memorization backtracking)
Dfs bfs
Dp
字符串
1 数组
前缀和数组
238. 除自身以外数组的乘积
- 空间复杂度O(n)
时间复杂度O(n)
class Solution {public:vector<int> productExceptSelf(vector<int>& nums) {int n = nums.size();vector<int> pre(n, 1);for(int i = 1; i < n; i ++)//前缀,数组表示,计算pre[1]...pre[n-1]pre[i] = pre[i - 1] * nums[i - 1];//pre[i] = nums[0]*...nums[i-1]for(int i = n - 1, suf = 1; i >= 0; i --)//后缀, int suf表示{pre[i] *= suf;//pre[n-1]=nums[0]*...nums[n-2]suf *= nums[i];//pre[n-2] = nums[0]*...nums[n-3]*nums[n-1]}return pre;}};
304. 二维区域和检索 - 矩阵不可变
class NumMatrix {
public:
vector<vector<int>> s;
NumMatrix(vector<vector<int>>& matrix) {
int m = matrix.size();
int n = matrix[0].size();
s.resize(m + 1, vector<int>(n + 1));
for(int i = 1; i <= m; i ++)
{
for(int j = 1; j <= n; j ++)
{
s[i][j] = s[i-1][j] + s[i][j-1] - s[i-1][j-1] + matrix[i - 1][j - 1];
}
}
}
int sumRegion(int row1, int col1, int row2, int col2) {
++row1, ++row2, ++ col1, ++col2;
int res = s[row2][col2] - s[row2][col1-1] - s[row1-1][col2] + s[row1-1][col1-1];
return res;
}
};
/**
* Your NumMatrix object will be instantiated and called as such:
* NumMatrix* obj = new NumMatrix(matrix);
* int param_1 = obj->sumRegion(row1,col1,row2,col2);
*/
303. 区域和检索 - 数组不可变
时间复杂度O(n)
空间复杂度O(n)
class NumArray {
public:
vector<int> a;
NumArray(vector<int>& nums) {
a.resize(nums.size() + 1, 0);//前缀和的index从1开始,因为当l = 0时,l-1越界
for(int i = 1; i <= nums.size(); i ++)
{
a[i] = a[i - 1] + nums[i - 1];
//a[1] = a[0] + nums[0]
//a[2] = a[1] + nums[1]
}
}
//nums[1]+...nums[n] = a[n]
//nums[l]+...nums[r] = a[r] - a[l-1]
int sumRange(int left, int right) {
++ left, ++ right;
return a[right] - a[left - 1];
}
};
/**
* Your NumArray object will be instantiated and called as such:
* NumArray* obj = new NumArray(nums);
* int param_1 = obj->sumRange(left,right);
*/
面试题 16.10. 生存人数
class Solution {
public:
int maxAliveYear(vector<int>& birth, vector<int>& death) {
vector<int> live(2100, 0);
int n = birth.size();
for(int i = 0; i < n; i ++)
{
int b = birth[i], d = death[i];
//差分
live[b] ++;
live[d + 1] --;
}
int p = 0, res = 0, sum = 0;
for(int y = 1900; y < 2100; y ++)
{
sum += live[y]; //前缀和
if(sum > p)
{
p = sum;
res = y;
}
}
return res;
}
};
8 双指针法
头尾指针
15. 三数之和
- 如果数组为空,或数组长度小于3,return;
- 排序; O(nlogn)
- 遍历排序后的数组 O(n)
如果nums[i]>0,break;//由于已经排好序,所以后面不可能有三个数加和等于0
nums[i]不等于nums[i-1],避免重复解;
//问题转换为从第i+1到n-1个数中,找到两数之和等于-nums[i],且不能有重复解
//双指针 O(n)
left = i+1,right = n-1,当 L
当nums[left]+nums[right] > -nums[i]时,执行循环:right —;
当nums[left]+nums[right] = -nums[i],把当前三数加到答案数组中,并对左右指针去重;
left++;
}
时间复杂度O(n2)
空间复杂度:O(logn)。额外的排序的空间复杂度为O(logn)。然而修改了输入的数组nums,在实际情况下不一定允许,因此也可以看成使用了一个额外的数组存储了nums 的副本并进行排序,空间复杂度为 O(n)。
class Solution {
public:
vector<vector<int>> threeSum(vector<int>& nums) {
vector<vector<int>> ans;
int n = nums.size();
if(n < 3) return{};
sort(nums.begin(), nums.end());
for(int i = 0; i < n; i ++)
{
if(nums[i] > 0) break;
if(i > 0 && nums[i] == nums[i - 1]) continue;
int left = i + 1, right = n - 1;
while(left < right)
{
while(left < right && nums[left] + nums[right] > -nums[i])
right --;
// cout<<"left="<<left<<" right="<<right<<endl;
if(left < right && nums[left] + nums[right] == -nums[i])
{
ans.push_back(vector<int>{nums[i], nums[left], nums[right]});
//对左右指针去重,如果当前left和left+1所指的数相等,left++
while(left < right && nums[left] == nums[left + 1]) left ++;
while(left < right && nums[right] == nums[right - 1]) right --;
}
left ++;
}
}
return ans;
}
};
16. 最接近的三数之和
class Solution {
public:
int threeSumClosest(vector<int>& nums, int target) {
int n = nums.size();
sort(nums.begin(), nums.end());
int ans = nums[0]+nums[1]+nums[2];//用前三个数的和初始化结果
for(int i = 0; i < n - 2; i ++)
{
if(i > 0 && nums[i] == nums[i - 1]) continue;
int left = i + 1, right = n - 1;
while(left < right)
{
//target小于sum最小值nums[i]+nums[left]+nums[left+1]
int min = nums[i] + nums[left] + nums[left + 1];
if(target < min)
{
if(min - target < abs(ans - target)) ans = min;
break;
}
//target大于sum最大值nums[i]+nums[right]+nums[right-1]
int max = nums[i] + nums[right] + nums[right - 1];
if(target > max)
{
if(target - max < abs(ans - target)) ans = max;
break;
}
int sum = nums[i] + nums[left]+nums[right];
if(abs(sum - target) < abs(ans - target)) ans = sum;
if(sum > target)
{
right --;
while(left < right && nums[right] == nums[right + 1]) right --;
}
else if(sum < target)
{
left ++;
while(left < right && nums[left] == nums[left - 1]) left ++;
}
else return sum;//若target和sum相等,直接返回sum
}
}
return ans;
}
};
同向双指针、滑动窗口
剑指 Offer 57 - II. 和为s的连续正数序列
class Solution {
public:
vector<vector<int>> findContinuousSequence(int target) {
int i = 1;//滑动窗口左边界
int j = 1;//滑动窗口右边界
//左闭右开 [i,j) sum = i + i+1 +...+ j-1
int sum = 0;//滑动窗口中数字的和
vector<vector<int>> res;
//由于序列至少含两个数,则左边界i最大为target/2(向下取整)
while(i <= target/2)
{
//sum<target,右边界右移
if(sum < target) sum += j ++;
//sum>target,左边界右移
else if(sum > target) sum -= i ++;
//sum=target,保存结果,左边界右移
else if(sum == target)
{
vector<int> arr;
for(int a = i; a < j; a ++)
arr.push_back(a);
res.push_back(arr);
sum -= i ++;
}
}
return res;
}
};
3. 无重复字符的最长子串
时间复杂度O(n)
空间复杂度O(∣Σ∣),∣Σ∣为128,因为ASCII 码包含128个字符
//双指针
class Solution {
public:
int lengthOfLongestSubstring(string s) {
int n = s.size();
const int N = 200;//ASCII 码包含128个字符
int cnt[N] = {0};
int res = 0;//最长子串的个数
for(int i = 0, j = 0; i < n; i ++)
{
cnt[s[i]] ++;
while (j < i && cnt[s[i]] > 1)
{
cnt[s[j]] --;
j ++;
}
res = max(res, i - j + 1);
}
return res;
}
};
中心扩散
5. 最长回文子串
- 此时1 <= s.length <= 1000
双指针 中心扩散 O(n^2)
class Solution {
public:
string longestPalindrome(string s) {
string res;
for(int i =0; i < s.size(); i ++)
{
int l = i, r = i;
while(l >= 0 && r < s.size() && s[l] == s[r]) l --, r ++;
if(r - l - 1 > res.size()) res = s.substr(l + 1, r - l - 1);
l = i, r = i + 1;
while(l >= 0 && r < s.size() && s[l] == s[r]) l --, r ++;
if(r - l - 1 > res.size()) res = s.substr(l + 1, r - l - 1);
}
return res;
}
};
-
9 树
树与递归
226. 翻转二叉树/剑指 Offer 27. 二叉树的镜像
/** * Definition for a binary tree node. * struct TreeNode { * int val; * TreeNode *left; * TreeNode *right; * TreeNode() : val(0), left(nullptr), right(nullptr) {} * TreeNode(int x) : val(x), left(nullptr), right(nullptr) {} * TreeNode(int x, TreeNode *left, TreeNode *right) : val(x), left(left), right(right) {} * }; */ class Solution { public: TreeNode* invertTree(TreeNode* root) { if(root == nullptr) return nullptr; swap(root->left, root->right); invertTree(root->left); invertTree(root->right); return root; } };101. 对称二叉树
/** * Definition for a binary tree node. * struct TreeNode { * int val; * TreeNode *left; * TreeNode *right; * TreeNode() : val(0), left(nullptr), right(nullptr) {} * TreeNode(int x) : val(x), left(nullptr), right(nullptr) {} * TreeNode(int x, TreeNode *left, TreeNode *right) : val(x), left(left), right(right) {} * }; */ class Solution { public: bool isSymmetric(TreeNode* root) { if(!root) return true; return dfs(root->left, root->right); } bool dfs(TreeNode* l, TreeNode* r) { if(!l && !r) return true; if(!l || !r || l->val != r->val) return false; return dfs(l->left, r->right) && dfs(l->right, r->left); } };110. 平衡二叉树
/** * Definition for a binary tree node. * struct TreeNode { * int val; * TreeNode *left; * TreeNode *right; * TreeNode() : val(0), left(nullptr), right(nullptr) {} * TreeNode(int x) : val(x), left(nullptr), right(nullptr) {} * TreeNode(int x, TreeNode *left, TreeNode *right) : val(x), left(left), right(right) {} * }; */ class Solution { public: bool flag = true; bool isBalanced(TreeNode* root) { dfs(root); return flag; } int dfs(TreeNode* root)//返回最大深度 { if(!root) return 0; int left = dfs(root->left); int right = dfs(root->right); if(abs(left - right) > 1) flag = false; return max(left, right) + 1; } };129. 求根节点到叶节点数字之和
/** * Definition for a binary tree node. * struct TreeNode { * int val; * TreeNode *left; * TreeNode *right; * TreeNode() : val(0), left(nullptr), right(nullptr) {} * TreeNode(int x) : val(x), left(nullptr), right(nullptr) {} * TreeNode(int x, TreeNode *left, TreeNode *right) : val(x), left(left), right(right) {} * }; */ class Solution { public: int sum = 0; int sumNumbers(TreeNode* root) { dfs(root, 0); return sum; } void dfs(TreeNode* root, int num) { num = num * 10 + root->val; if(!root->left && !root->right) sum += num; if(root->left) dfs(root->left, num); if(root->right) dfs(root->right, num); } };树的层序遍历
199. 二叉树的右视图
BFS,保存每层最右元素
/** * Definition for a binary tree node. * struct TreeNode { * int val; * TreeNode *left; * TreeNode *right; * TreeNode() : val(0), left(nullptr), right(nullptr) {} * TreeNode(int x) : val(x), left(nullptr), right(nullptr) {} * TreeNode(int x, TreeNode *left, TreeNode *right) : val(x), left(left), right(right) {} * }; */ class Solution { public: vector<int> rightSideView(TreeNode* root) { if(!root) return {}; vector<int> res; queue<TreeNode*> q; q.push(root); while(q.size() > 0) { int len = q.size(); for(int i = 0; i < len; i ++) { TreeNode* t = q.front(); q.pop(); if(t->left) q.push(t->left); if(t->right) q.push(t->right); if(i == len - 1) res.push_back(t->val); } } return res; } };树的中序遍历与二叉搜索树
450. 删除二叉搜索树中的节点

题解:三种情况
(1)是叶节点
(2)只有1个子节点
(3)有2个子节点
找到u的后继(一定没有左儿子),将后继的值覆盖到u上,然后删除后继节点/** * Definition for a binary tree node. * struct TreeNode { * int val; * TreeNode *left; * TreeNode *right; * TreeNode() : val(0), left(nullptr), right(nullptr) {} * TreeNode(int x) : val(x), left(nullptr), right(nullptr) {} * TreeNode(int x, TreeNode *left, TreeNode *right) : val(x), left(left), right(right) {} * }; */ class Solution { public: TreeNode* deleteNode(TreeNode* root, int key) { del(root, key); return root; } void del(TreeNode* &root, int key) { if(!root) return;//root为空,返回 if(key == root->val){ if(!root->left && !root->right) root = NULL;//没有子节点 else if(!root->left) root = root->right;//有右儿子 else if(!root->right) root = root->left;//有左儿子 else{//左右儿子都有 auto p = root->right; while(p->left) p = p->left;//找root的后继p,p没有左儿子 root->val = p->val;//root的值置为p的值 del(root->right, p->val);//删去p,p没有左儿子,可能有右儿子或者叶节点 } } else if(key < root->val) del(root->left, key); else del(root->right, key); } };
重构二叉树
105. 从前序与中序遍历序列构造二叉树
递归,前序序列的第一个为根节点,找到中序遍历中根节点的位置,左边是左子树中序,右边是右子树中序;
返回前序,根节点后依次为左子树前序和右子树前序。

/**
* Definition for a binary tree node.
* struct TreeNode {
* int val;
* TreeNode *left;
* TreeNode *right;
* TreeNode() : val(0), left(nullptr), right(nullptr) {}
* TreeNode(int x) : val(x), left(nullptr), right(nullptr) {}
* TreeNode(int x, TreeNode *left, TreeNode *right) : val(x), left(left), right(right) {}
* };
*/
class Solution {
public:
unordered_map<int, int> pos;
TreeNode* build(vector<int>& preorder, vector<int>& inorder, int pl, int pr, int il, int ir)
{
if(pl > pr) return nullptr;
TreeNode* root = new TreeNode(preorder[pl]);
int k = pos[preorder[pl]];
root->left = build(preorder, inorder, pl+1, pl+k-il, il, k-1);
root->right = build(preorder, inorder, pl+1+k-il, pr, k+1, ir);
return root;
}
TreeNode* buildTree(vector<int>& preorder, vector<int>& inorder) {
int len = inorder.size();
for(int i = 0; i < len; i ++) pos[inorder[i]] = i;
return build(preorder, inorder, 0, len-1, 0, len-1);
}
};
10 图与搜索
DFS
695. 岛屿的最大面积
class Solution {
public:
int dx[4] = {0, 1, 0, -1}, dy[4] = {1, 0, -1, 0};
int maxAreaOfIsland(vector<vector<int>>& grid) {
int max_area = 0;
for(int i = 0; i < grid.size(); i ++)
{
for(int j = 0; j < grid[0].size(); j ++)
{
if(grid[i][j] == 1)
{
max_area = max(max_area, dfs(grid, i, j));
}
}
}
return max_area;
}
int dfs(vector<vector<int>>& grid, int x, int y)
{
int area = 1;
grid[x][y] = 0;
for(int k = 0; k < 4; k ++)
{
int nx = x + dx[k], ny = y + dy[k];
if(nx >= 0 && nx < grid.size() && ny >= 0 && ny < grid[0].size() && grid[nx][ny] == 1)
{
area += dfs(grid, nx, ny);
}
}
return area;
}
};
200. 岛屿数量
flood fill算法
for( i )
for( j )
if(i,j)是未遍历的1
则遍历(i,j)
cnt ++;
class Solution {
public:
int dx[4] = {-1, 0, 1, 0}, dy[4] = {0,-1, 0, 1};
vector<vector<char>> g;//全局变量g = grid
int numIslands(vector<vector<char>>& grid) {
g = grid;
int cnt = 0;
for(int i = 0; i < grid.size(); i ++)
{
for(int j = 0; j < grid[0].size(); j ++)
{
if(g[i][j] == '1')
{
dfs(i, j);//将1组成的连通块置为0
cnt ++;
}
}
}
return cnt;
}
void dfs(int x, int y)
{
g[x][y] = 0;//dfs遍历后,g[x][y]由1置为0
for(int i = 0; i < 4; i ++)
{
int nx = x + dx[i], ny = y + dy[i];
if(nx >= 0 && nx < g.size() && ny >= 0 && ny < g[0].size() && g[nx][ny] == '1')
{
dfs(nx, ny);
}
}
}
};
694. 不同岛屿的数量
题目描述:
给定一个非空 01 二维数组表示的网格,一个岛屿由四连通(上、下、左、右四个方向)的 1 组成,你可以认为网格的四周被海水包围。
请你计算这个网格中共有多少个形状不同的岛屿。两个岛屿被认为是相同的,当且仅当一个岛屿可以通过平移变换(不可以旋转、翻转)和另一个岛屿重合。
提示:二维数组每维的大小都不会超过 50 。
示例 1:
11000
11000
00011
00011
给定上图,返回结果 1 。
示例 2:
11011
10000
00001
11011
给定上图,返回结果 3 。
注意:
11
1
和
1
11
是不同的岛屿,因为我们不考虑旋转、翻转操作。
#include <iostream>
#include <vector>
#include <algorithm>
using namespace std;
int dx[4] = {0, 1, 0, -1}, dy[4] = {1, 0, -1, 0};
void dfs(vector<vector<int>>& g, int x, int y, int i, int j, vector<pair<int, int>>& path)
{//连通块左上角为[x][y],当前点[i][j]
g[i][j] = 0;
path.push_back({i - x, j - y});
for(int k = 0; k < 4; k ++)
{
int ni = i + dx[k], nj = j + dy[k];
if(ni >= 0 && ni < g.size() && nj >= 0 && nj < g[ni].size() && g[ni][nj] == 1)
dfs(g, x, y, ni, nj, path);
}
}
int numDistinctIslands(vector<vector<int>>& grid) {
vector<vector<pair<int, int>>> paths;
for(int i = 0; i < grid.size(); i ++)
{
for(int j = 0; j < grid[i].size(); j ++)
{
if(grid[i][j] == 1)
{
vector<pair<int, int>> path;
dfs(grid, i, j, i, j, path);
paths.push_back(path);
}
}
}
sort(paths.begin(), paths.end());
int cnt = unique(paths.begin(), paths.end()) - paths.begin();
return cnt;
}
int main()
{
vector<vector<int>> grid = {{1,1,0,0,0}, {1,1,0,0,0},{0,0,0,1,1},{0,0,0,1,1}};
cout << numDistinctIslands(grid);
}
//优化,用set存path,利用set有序不重复的特点
#include <iostream>
#include <vector>
#include <algorithm>
#include <set>
using namespace std;
int dx[4] = {0, 1, 0, -1}, dy[4] = {1, 0, -1, 0};
void dfs(vector<vector<int>>& g, int x, int y, int i, int j, vector<pair<int, int>>& path)
{//连通块左上角为[x][y],当前点[i][j]
g[i][j] = 0;
path.push_back({i - x, j - y});
for(int k = 0; k < 4; k ++)
{
int ni = i + dx[k], nj = j + dy[k];
if(ni >= 0 && ni < g.size() && nj >= 0 && nj < g[ni].size() && g[ni][nj] == 1)
dfs(g, x, y, ni, nj, path);
}
}
int numDistinctIslands(vector<vector<int>>& grid) {
set<vector<pair<int, int>>> s;
for(int i = 0; i < grid.size(); i ++)
{
for(int j = 0; j < grid[i].size(); j ++)
{
if(grid[i][j] == 1)
{
vector<pair<int, int>> path;
dfs(grid, i, j, i, j, path);
s.insert(path);
}
}
}
return s.size();
}
int main()
{
vector<vector<int>> grid = {{1,1,0,0,0}, {1,1,0,0,0},{0,0,0,1,1},{0,0,0,1,1}};
cout << numDistinctIslands(grid);
}
11 二分查找
6096. 咒语和药水的成功对数
class Solution {
public:
vector<int> successfulPairs(vector<int>& spells, vector<int>& potions, long long success) {
int n = spells.size(), m = potions.size();
vector<int> pairs(n, 0);
//排序
sort(potions.begin(), potions.end());
for(int i = 0; i < n; i ++) {
long long a = ((success - 1) / spells[i]) + 1; //向上取整
//二分
// //lower_bound
// auto it = lower_bound(potions.begin(), potions.end(), a);
// pairs[i] = potions.end() - it;
//手写二分找到potions中第一个大于等于a的数
int l = 0, r = m - 1;
while(l < r) {
int mid = l + r >> 1;
if(potions[mid] >= a) r = mid;
else l = mid + 1;
}
//特例:
//1)如果potions的最后一个数都不满足大于等于a
//即找不到potions中第一个大于等于a的数
//2)potions中第一个大于等于a的数是最后一个数
//两种情况l都是m-1,用条件语句区分
if (potions[l] >= a) pairs[i] = m - l;
}
return pairs;
}
};
二分查找与旋转数组
33. 搜索旋转排序数组

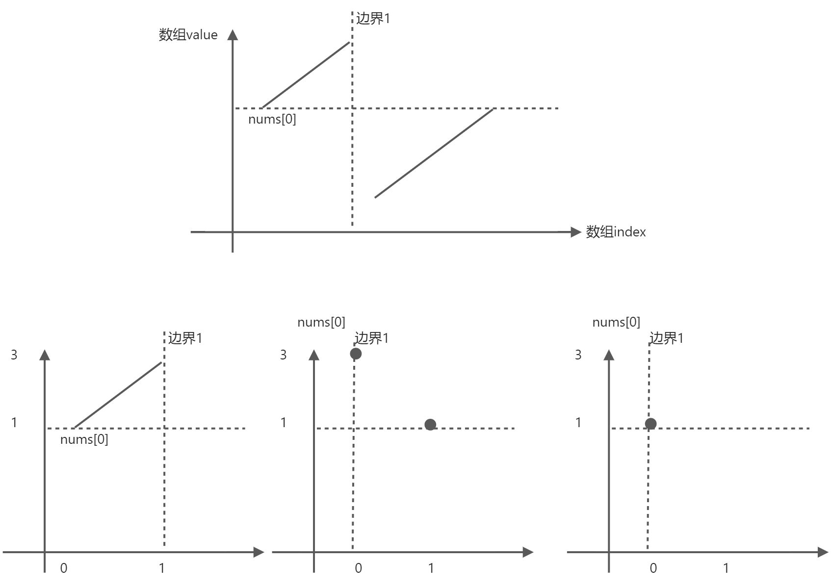
- 根据nums[0]二分,找到边界1
找到在哪一段,再次二分找到target
class Solution { public: int search(vector<int>& nums, int target) { if(nums.empty()) return -1; int l = 0, r = nums.size() - 1; while(l < r) { int mid = (l + r + 1) >> 1; if(nums[mid] >= nums[0]) l = mid; else r = mid - 1; } //此时l = r = 边界1 cout << l << endl; cout << r << endl; if(target >= nums[0]) l = 0; else l = l + 1, r = nums.size() - 1; cout << l << endl; cout << r << endl; while(l < r) { int mid = (l + r) >> 1; if(nums[mid] >= target) r = mid; else l = mid + 1; } if(nums[r] == target) return r; else return -1; //如果是nums = [1],target = 0情况, //边界一l = r = 0 //target <= nums[0],边界为l = l+1 = 1越界,r = nums.size()-1=0 //l>r不进入第二次二分,由于l越界,比较nums[r]和target } };13 动态规划
数组中的动态规划
53. 最大子数组和
- 状态表示:一维f[i]
- 集合:最后一位为i的最大子数组和
- 属性:最大子数组和
状态计算f[i] | f[i - 1]+nums[i] | nums[i] | | —- | —- |
时间复杂度 O(n) ;空间复杂度O(1)
class Solution { public: int maxSubArray(vector<int>& nums) { int res = INT_MIN; for(int i = 0, last = 0; i < nums.size(); i ++) { last = max(last, 0) + nums[i]; //写成max(nums[i], nums[i] + last),当max(INT_MIN, 负数)时会溢出 res = max(res, last); } return res; } };树形dp
124. 二叉树中的最大路径和
```cpp
class Solution {
public:
int maxPathSum(TreeNode* root) {ret = INT_MIN; dfs(root); return ret;}
private: int ret; int dfs(TreeNode* root) { if (root == nullptr) { return 0; } int left = max(0, dfs(root->left)); int right = max(0, dfs(root->right)); ret = max(ret, left + right + root->val); return root->val + max(left, right); } };
<a name="M5DWR"></a>
## 待整理
<a name="KUaqr"></a>
#### [1143. 最长公共子序列](https://leetcode-cn.com/problems/longest-common-subsequence/)
状态表示:f[i][j]<br />集合:s1前i个字符串,s2前j个字符串的公共子序列<br />属性:max<br />状态计算:f[i][j]
| s1[i] | s2[j] | <br /> |
| --- | --- | --- |
| 0 | 0 | <br /> |
| 1 | 0 | <br /> |
| 0 | 1 | <br /> |
| 1 | 1 | <br /> |
<a name="cDJPH"></a>
#### [63. 不同路径 II](https://leetcode-cn.com/problems/unique-paths-ii/)
时间复杂度O(mn),空间复杂度O(mn)
```cpp
class Solution {
public:
int uniquePathsWithObstacles(vector<vector<int>>& o) {
int n = o.size();//n行
if(!n) return 0;//0行时,网格为空,返回0条路径
int m = o[0].size();//m列
vector<vector<int>> f(n, vector<int>(m));//f[i][j]存储到[i][j]的路径数
for(int i = 0; i < n; i ++)
for(int j = 0; j < m; j ++)
if(!o[i][j])//[i][j]没有障碍物
{
//设f[0][0] = 1
if(!i && !j) f[i][j] = 1;
else
{
//行数大于0,可从[i-1][j]到[i][j]
if(i) f[i][j] += f[i - 1][j];
//列数大于0,可从[i][j-1]到[i][j]
if(j) f[i][j] += f[i][j - 1];
}
}
return f[n - 1] [m - 1];
}
};
1262. 可被三整除的最大和
- 状态表示:f[i][j]
- 集合:nums[0,…,i]中模3余j(j = 0,1,2)的sum
- 属性:sum MAX
- 状态计算f[i][j]
f[i][0]
| f[i-1][0] | nums[i]%3 == 0 f[i-1][0] + nums[i] |
nums[i]%3 == 1 f[i-1][2] + nums[i] |
nums[i]%3 == 2 f[i-1][1] + nums[i] |
|---|---|---|---|
f[i][1]
| f[i-1][1] | nums[i]%3 == 0 f[i-1][1] + nums[i] |
nums[i]%3 == 1 f[i-1][0] + nums[i] |
nums[i]%3 == 2 f[i-1][2] + nums[i] |
|---|---|---|---|
f[i][2]
| f[i-1][2] | nums[i]%3 == 0 f[i-1][2] + nums[i] |
nums[i]%3 == 1 f[i-1][1] + nums[i] |
nums[i]%3 == 2 f[i-1][0] + nums[i] |
|---|---|---|---|
时间复杂度 = 状态数量(O(n))*每个状态转移时间(O(1)) = O(n)
class Solution { public: int maxSumDivThree(vector<int>& nums) { int n = nums.size(); vector<vector<int>> f(n+1, vector<int>(3, 0)); f[0][1] = INT_MIN, f[0][2] = INT_MIN; for(int i = 1; i <= n; i ++) { if(nums[i - 1] % 3 == 0) { f[i][0] = max(f[i - 1][0], f[i - 1][0] + nums[i - 1]); f[i][1] = max(f[i - 1][1], f[i - 1][1] + nums[i - 1]); f[i][2] = max(f[i - 1][2], f[i - 1][2] + nums[i - 1]); } if(nums[i - 1] % 3 == 1) { f[i][0] = max(f[i - 1][0], f[i - 1][2] + nums[i - 1]); f[i][1] = max(f[i - 1][1], f[i - 1][0] + nums[i - 1]); f[i][2] = max(f[i - 1][2], f[i - 1][1] + nums[i - 1]); } if(nums[i - 1] % 3 == 2) { f[i][0] = max(f[i - 1][0], f[i - 1][1] + nums[i - 1]); f[i][1] = max(f[i - 1][1], f[i - 1][2] + nums[i - 1]); f[i][2] = max(f[i - 1][2], f[i - 1][0] + nums[i - 1]); } } return f[n][0]; } };状态表示:f[j]
- 集合:nums[0,…,i]中模3余j(j = 0,1,2)的sum
- 属性:sum MAX
- 状态计算f[j]
class Solution { public: int maxSumDivThree(vector<int>& nums) { int n = nums.size(); int f[3] = {0}; for(int i = 0; i < n; i ++) { int a = f[0] + nums[i]; int b = f[1] + nums[i]; int c = f[2] + nums[i]; f[a % 3] = max(f[a % 3], a); f[b % 3] = max(f[b % 3], b); f[c % 3] = max(f[c % 3], c); } return f[0]; } };
14 数据结构
1188. 设计有限阻塞队列
实现一个拥有如下方法的线程安全有限阻塞队列:BoundedBlockingQueue(int capacity) 构造方法初始化队列,其中capacity代表队列长度上限。void enqueue(int element)在队首增加一个element. 如果队列满,调用线程被阻塞直到队列非满。int dequeue()返回队尾元素并从队列中将其删除. 如果队列为空,调用线程被阻塞直到队列非空。int size()返回当前队列元素个数。
你的实现将会被多线程同时访问进行测试。每一个线程要么是一个只调用enqueue方法的生产者线程,要么是一个只调用dequeue方法的消费者线程。size方法将会在每一个测试用例之后进行调用。
请不要使用内置的有限阻塞队列实现,否则面试将不会通过。
输入:
1
1
["BoundedBlockingQueue","enqueue","dequeue","dequeue","enqueue","enqueue","enqueue","enqueue","dequeue"]
[[2],[1],[],[],[0],[2],[3],[4],[]]
输出:
[1,0,2,2]
解释:
生产者线程数目 = 1
消费者线程数目 = 1
BoundedBlockingQueue queue = new BoundedBlockingQueue(2); // 使用capacity = 2初始化队列。
queue.enqueue(1); // 生产者线程将 1 插入队列。
queue.dequeue(); // 消费者线程调用 dequeue 并返回 1 。
queue.dequeue(); // 由于队列为空,消费者线程被阻塞。
queue.enqueue(0); // 生产者线程将 0 插入队列。消费者线程被解除阻塞同时将 0 弹出队列并返回。
queue.enqueue(2); // 生产者线程将 2 插入队列。
queue.enqueue(3); // 生产者线程将 3 插入队列。
queue.enqueue(4); // 生产者线程由于队列长度已达到上限 2 而被阻塞。
queue.dequeue(); // 消费者线程将 2 从队列弹出并返回。生产者线程解除阻塞同时将4插入队列。
queue.size(); // 队列中还有 2 个元素。size()方法在每组测试用例最后调用。
输入:
3
4
["BoundedBlockingQueue","enqueue","enqueue","enqueue","dequeue","dequeue","dequeue","enqueue"]
[[3],[1],[0],[2],[],[],[],[3]]
输出:
[1,0,2,1]
解释:
生产者线程数目 = 3
消费者线程数目 = 4
BoundedBlockingQueue queue = new BoundedBlockingQueue(3); // 使用capacity = 3初始化队列。
queue.enqueue(1); // 生产者线程 P1 将 1 插入队列。
queue.enqueue(0); // 生产者线程 P2 将 0 插入队列。
queue.enqueue(2); // 生产者线程 P3 将2插入队列。
queue.dequeue(); // 消费者线程 C1 调用 dequeue。
queue.dequeue(); // 消费者线程 C2 调用 dequeue。
queue.dequeue(); // 消费者线程 C3 调用 dequeue。
queue.enqueue(3); // 其中一个生产者线程将3插入队列。
queue.size(); // 队列中还有 1 个元素。
由于生产者/消费者线程的数目可能大于 1 ,我们并不知道线程如何被操作系统调度,即使输入看上去隐含了顺序。因此任意一种输出[1,0,2]或[1,2,0]或[0,1,2]或[0,2,1]或[2,0,1]或[2,1,0]都可被接受。
1 <= Number of Prdoucers <= 8
1 <= Number of Consumers <= 8
1 <= size <= 30
0 <= element <= 20
enqueue的调用次数 大于等于 dequeue 的调用次数。
enque, deque 和 size 最多被调用 40 次
//synchronized
class BoundedBlockingQueue {
private int capacity;
private Queue<Integer> queue;
private Object lock = new Object();
public BoundedBlockingQueue(int capacity) {
this.capacity = capacity;
queue = new LinkedList<>();
}
public void enqueue(int element) throws InterruptedException {
synchronized (lock) {
while (queue.size() > capacity) {
lock.wait();
}
queue.add(element);
lock.notify();
}
}
public int dequeue() throws InterruptedException {
int result;
synchronized (lock) {
while (queue.size() == 0) {
lock.wait();
}
result = queue.poll();
lock.notify();
}
return result;
}
public int size() {
synchronized (lock) {
return queue.size();
}
}
}
//ReentrantLock
class BoundedBlockingQueue {
private ReentrantLock lock = new ReentrantLock();
private Condition full = lock.newCondition();
private Condition empty = lock.newCondition();
private int[] queue;
private int tail = 0;
private int head = 0;
private int size = 0;
public BoundedBlockingQueue(int capacity) {
queue = new int[capacity];
}
public void enqueue(int element) throws InterruptedException {
lock.lock();
try{
while(size == queue.length){
full.await();
}
queue[tail ++] = element;
tail %= queue.length;
size ++;
empty.signal();
}finally{
lock.unlock();
}
}
public int dequeue() throws InterruptedException {
lock.lock();
try{
while(size == 0){
empty.await();
}
int res = queue[head ++];
head %= queue.length;
size --;
full.signal();
return res;
}finally{
lock.unlock();
}
}
public int size() {
lock.lock();
try{
return this.size;
}finally{
lock.unlock();
}
}
}
待整理
82 23 200 694
二叉树
297. 二叉树的序列化与反序列化
struct TreeNode { int val; TreeNode left; TreeNode right; TreeNode() : val(0), left(nullptr), right(nullptr) {} TreeNode(int x) : val(x), left(nullptr), right(nullptr) {} TreeNode(int x, TreeNode left, TreeNode right) : val(x), left(left), right(right) {} };
//层序数组构建二叉树 // https://leetcode-cn.com/problems/xu-lie-hua-er-cha-shu-lcof/solution/zha-zha-fa-xian-de-wen-ti-xi-wang-geng-duo-ren-kan/
TreeNode deserialize(string data) { if(data.size() == 0) return NULL; int len = data.size(); int i = 0; vector<TreeNode> vec;//存储节点到数组中 while(i < len) { string str = “”; //将当前逗号之间的字符串存入str while(i < len && data[i] != ‘,’) { str.push_back(data[i]); i ++; }
if(str == "null")
{
TreeNode* temp = NULL;
vec.push_back(temp);
}
else//str为数字字符串
{
int temp = stoi(str);
TreeNode* cur = new TreeNode(temp);
vec.push_back(cur);
}
i ++;
}
//层序i从0开始,父节点i,左子节点2i+1,右子节点2i+2
int j = 1;
for(int i = 0; j < vec.size(); i ++)
{
if(vec[i] == NULL) continue;
if(j < vec.size()) vec[i] ->left = vec[j++];
if(j < vec.size()) vec[i] ->right = vec[j++];
}
return vec[0];
}
//序列化二叉树 bfs 队列 string serialize(TreeNode root) { string res = “”;//存结果字符串 //构造队列,并插入非空根节点 queue<TreeNode > q; if (root) q.push(root); else return “”; //队列非空时循环 while (q.size()) { //队列长度 int len = q.size(); while (len—) { auto cur = q.front(); q.pop(); if (cur) res.append(to_string(cur->val)); else res.append(“null”); res.push_back(‘,’); if (cur) { q.push(cur->left); q.push(cur->right); } } }
res.pop_back();//删去末尾逗号
while(!isdigit(res.back())) res.pop_back();//删去末尾的null,isdigit()判断是不是数字
return res;
}
int main() { //输入string转为树 string data; getline(cin, data); TreeNode *t = deserialize(data); //层序遍历树转换为string string s = serialize(t); cout << s; }
<a name="rMYVf"></a>
#### [102. 二叉树的层序遍历](https://leetcode-cn.com/problems/binary-tree-level-order-traversal/)
BFS
```cpp
/**
* Definition for a binary tree node.
* struct TreeNode {
* int val;
* TreeNode *left;
* TreeNode *right;
* TreeNode() : val(0), left(nullptr), right(nullptr) {}
* TreeNode(int x) : val(x), left(nullptr), right(nullptr) {}
* TreeNode(int x, TreeNode *left, TreeNode *right) : val(x), left(left), right(right) {}
* };
*/
class Solution {
public:
vector<vector<int>> levelOrder(TreeNode* root) {
queue<TreeNode*> q;
vector<vector<int>> res;
if(root != nullptr) q.push(root);
while(!q.empty())
{
vector<int> vec;
int size = q.size();
for(int i = 0; i < size; ++ i)
{
TreeNode* node = q.front();
q.pop();
if(node->left) q.push(node->left);
if(node->right) q.push(node->right);
vec.push_back(node->val);
}
res.push_back(vec);
}
return res;
}
};
排序
912. 排序数组
- 快速排序
时间复杂度O(nlogn)
空间复杂度O(h),其中 h 为递归调用的层数,最坏情况下需 O(n)的空间,最优情况下每次都平衡,此时整个递归树高度logn,空间复杂度为 O(logn)。
class Solution {
void quick_sort(vector<int>& nums, int l, int r)
{
if(l >= r) return;
int i = l - 1, j = r + 1, x = nums[(l + r) >> 1];
while(i < j)
{
do i ++; while(nums[i] < x);
do j --; while(nums[j] > x);
if(i < j) swap(nums[i] ,nums[j]);
}
quick_sort(nums, l, j);
quick_sort(nums, j + 1, r);
}
public:
vector<int> sortArray(vector<int>& nums) {
quick_sort(nums, 0, nums.size() - 1);
return nums;
}
};
- 归并排序
时间复杂度:O(nlogn)
空间复杂度:递归栈logn,tmp数组最大为n,所需的空间复杂度即为O(n+logn)=O(n)。
class Solution {
vector<int> tmp;
void merge_sort(vector<int>& nums, int l, int r)
{
if(l >= r) return;
int mid = (l + r) >> 1;
merge_sort(nums, l, mid);
merge_sort(nums, mid + 1, r);
int i = l, j = mid + 1, k = 0;
while(i <= mid && j <= r)
{
if(nums[i] <= nums[j]) tmp[k ++] = nums[i ++];
else tmp[k ++] = nums[j ++];
}
while(i <= mid) tmp[k ++] = nums[i ++];
while(j <= r) tmp[k ++] = nums[j ++];
for(int i = l, k = 0; i <= r; i ++, k ++) nums[i] = tmp[k];
}
public:
vector<int> sortArray(vector<int>& nums) {
tmp.resize(nums.size(), 0);//需要明确数组大小,才能利用索引找到数组中对应的数,使用nums[i]
merge_sort(nums, 0, nums.size() - 1);
return nums;
}
};
- 堆排序
时间复杂度:O(nlogn)。
初始化建堆的时间复杂度为 O(n);
建完堆以后需要进行 n-1次调整,一次调整(即 down) 的时间复杂度为O(logn),堆的大小也在不断减小,具体时间复杂度应为(log(n!))=O(nlogn)。
因此,总时间复杂度为O(n+nlogn)=O(nlogn)。
空间复杂度:O(1)。只需要常数的空间存放若干变量。
class Solution {
//建堆,大根堆
void buildMaxHeap(vector<int>& nums, int heapSize)
{
for(int i = heapSize/2 - 1; i >= 0; i --)
down(nums, heapSize, i);
}
void down(vector<int>& nums, int heapSize, int u)
{
int t = u;//存子父节点中更大的节点的索引
if(2*u+2 < heapSize && nums[2*u+2] > nums[t]) t = 2*u+2;
if(2*u+1 < heapSize && nums[2*u+1] > nums[t]) t = 2*u+1;
if(t != u)
{
swap(nums[t], nums[u]);
down(nums, heapSize, t);
}
}
void heap_sort(vector<int> &nums, int heapSize)
{
buildMaxHeap(nums, heapSize);
int cnt = heapSize;
//反转得到从小到大顺序
//1.将当前大根堆堆顶与堆的最后一个数交换
//2.堆的大小减1,对现在的堆顶堆化
for(int i = heapSize - 1; i > 0; i --)
{
swap(nums[0], nums[i]);
cnt --;
down(nums, cnt, 0);
}
}
public:
vector<int> sortArray(vector<int>& nums) {
heap_sort(nums, nums.size());
return nums;
}
};
215. 数组中的第K个最大元素
- 快速排序 题解
- 思路
随机选择nums中的一个数x,以x为边界, 数组整理为[left, j] < x, [i, right] > x,j表示当前x为第j小的数;
划分区间递归:如果K < j,在区间[left, j里递归;如果K > j,在区间[i, right]里递归,返回K==j时的nums[K]
- 时间空间复杂度

//快速排序
class Solution {
public:
int findKthLargest(vector<int>& nums, int k) {
int len = nums.size();
int target = len - k;//第k个最大=第len-k个最小
return partition(nums, 0, len - 1, target);
}
//随机选择nums中的一个数x;
//以x为边界, 数组整理为[left, j] < x, [j + 1, right] > x
//返回j表示当前x为第j小的数;
int partition(vector<int>& nums, int left, int right, int tar)
{
// cout << "left=" <<left << " right="<<right<<endl;
int i = left - 1, j = right + 1;
//从最中间的点开始,不从[left,right]两头开始,避免快速排序的最坏情况(顺序或逆序)
int x = nums[(left + right) >> 1];
// cout << "x = " << x << endl;
while(i <= j)
{
do i ++; while(i <= j && nums[i] < x);
do j --; while(i <= j && nums[j] > x);
if(i <= j) swap(nums[i], nums[j]);
// cout << "i=" << i << " j="<<j<<endl;
// for(int num : nums) cout << num << " ";
// cout <<endl;
}
//一次整理之后,[left,j], x,[i, right]
if(tar <= j) return partition(nums, left, j, tar);
if(tar >= i) return partition(nums, i, right, tar);
//如果tar最后刚好在j和i之间
return nums[tar];
}
};
- 样例:
输入:[5,2,4,1,3,6,0] 4 输出:3
tar = 3
left=0 right=6
x = 1
i=0 j=6
0 2 4 1 3 6 5
i=1 j=3
0 1 4 2 3 6 5
i=2 j=1
0 1 4 2 3 6 5
left=2 right=6
x = 3
i=2 j=4
0 1 3 2 4 6 5
i=4 j=3
0 1 3 2 4 6 5 判断tar和j的关系需要用 ≤和≥,需要等号进入下一层递归
left=2 right=3
x = 3
i=2 j=3
0 1 2 3 4 6 5
i=3 j=2
0 1 2 3 4 6 5
left=3 right=3
x = 3
i=3 j=3 while(i <= j)需要等号,再增加一轮循环
0 1 2 3 4 6 5
i=4 j=2 tar最后刚好在j和i之间
0 1 2 3 4 6 5
-
- 思路
维护有K个元素的小根堆:
(1)如果当前堆不满,直接添加;
(2)堆满的时候,如果新读到的数小于等于堆顶,肯定不是我们要找的元素,只有新遍历到的数大于堆顶的时候,才将堆顶拿出,然后放入新读到的数,进而让堆自己去调整内部结构。- 时间复杂度:O(NlogK),遍历数据 O(N),堆内元素调整O(logK);
空间复杂度:O(K)。
//使用STL中的优先队列
class Solution {
public:
int findKthLargest(vector<int>& nums, int k) {
priority_queue<int, vector<int>, greater<int>> minheap;
for(int i = 0; i < nums.size(); i ++)
{
if(minheap.size() < k) minheap.push(nums[i]);
else if(minheap.top() < nums[i])
{
minheap.pop();
minheap.push(nums[i]);
}
}
return minheap.top();
}
};
//手写堆
class Solution {
public:
//建堆,从最后一个非叶子节点开始down,其下标为节点数n/2 - 1
void bulidMinHeap(vector<int>& nums, int heapSize)
{
for(int i = heapSize / 2 - 1; i >= 0; i --)
down(nums, heapSize, i);
}
//down递归
void down(vector<int>& nums, int heapSize, int u)
{
int t = u;
//堆顶从0开始,若父节点为u,左右子节点为u * 2 + 1,u * 2 + 2
if(u * 2 + 1 < heapSize && nums[u * 2 + 1] < nums[t]) t = u * 2 + 1;
if(u * 2 + 2 < heapSize && nums[u * 2 + 2] < nums[t]) t = u * 2 + 2;
if(u != t)
{
swap(nums[u] ,nums[t]);
down(nums, heapSize, t);
}
}
int findKthLargest(vector<int>& nums, int k) {
//将nums的前k个数建堆,小根堆,大小为k
bulidMinHeap(nums, k);
//遍历nums中余下的数
for(int i = k; i < nums.size(); i ++)
{
//如果比最小值(堆顶)大
if(nums[0] < nums[i])
{
//删除最小值(堆顶)并把nums[i]插入堆顶
nums[0] = nums[i];
down(nums, k, 0);
}
}
return nums[0];//遍历结束,返回堆顶,即为第K大的数
}
};
21. 合并两个有序链表
归并
- 迭代法题解
时间复杂度:O(n + m),其中 n和 m分别为两个链表的长度。因为每次循环迭代中,l1 和 l2 只有一个元素会被放进合并链表中, 因此 while 循环的次数不会超过两个链表的长度之和。所有其他操作的时间复杂度都是常数级别的,因此总的时间复杂度为 O(n+m)。
空间复杂度:O(1)。我们只需要常数的空间存放若干变量。
class Solution {
public:
ListNode* mergeTwoLists(ListNode* list1, ListNode* list2) {
ListNode* dummyhead = new ListNode();
ListNode* pre = dummyhead;
while(list1 != nullptr && list2 != nullptr)
{
if(list1->val <= list2->val)
{
pre->next = list1;
list1 = list1->next;
}
else
{
pre->next = list2;
list2 = list2->next;
}
pre = pre->next;
}
if(list1 != nullptr) pre->next = list1;
if(list2 != nullptr) pre->next = list2;
return dummyhead->next;
}
};
- 递归法题解
时间复杂度:O(n + m),递归函数每次去掉一个元素,直到两个链表都为空O(n + m);递归函数只有赋值next指针操作O(1)
空间复杂度:O(n+m),递归栈
class Solution {
public:
ListNode* mergeTwoLists(ListNode* list1, ListNode* list2) {
if(list1 == nullptr) return list2;
if(list2 == nullptr) return list1;
if(list1->val <= list2->val)
{
list1->next = mergeTwoLists(list1->next, list2);
return list1;
}
list2->next = mergeTwoLists(list1, list2->next);
return list2;
}
};
链表
234. 回文链表
题解
1.链表值复制到指针中后用双指针
时间复杂度O(n)
空间复杂度O(n)
bool solution(ListNode* head)
{
vector<int> val;
while(head)
{
val.push_back(head->val);
head = head->next;
}
for(int i = 0, j = val.size() - 1; i < j; ++i, --j)
{
if(val[i] != val[j]) return false;
}
return true;
}
2.反转链表
- 找到前半部分链表的尾节点。
- 反转后半部分链表。
- 判断是否回文。
- 恢复链表。
- 返回结果。
时间复杂度O(n)
空间复杂度O(1)
class Solution {
public:
bool isPalindrome(ListNode* head) {
if (head == nullptr) {
return true;
}
// 找到前半部分链表的尾节点并反转后半部分链表
ListNode* firstHalfEnd = endOfFirstHalf(head);
ListNode* secondHalfStart = reverseList(firstHalfEnd->next);
// 判断是否回文
ListNode* p1 = head;
ListNode* p2 = secondHalfStart;
bool result = true;
while (result && p2 != nullptr) {
if (p1->val != p2->val) {
result = false;
}
p1 = p1->next;
p2 = p2->next;
}
// 还原链表并返回结果
firstHalfEnd->next = reverseList(secondHalfStart);
return result;
}
ListNode* reverseList(ListNode* head) {
ListNode* prev = nullptr;
ListNode* curr = head;
while (curr != nullptr) {
ListNode* nextTemp = curr->next;
curr->next = prev;
prev = curr;
curr = nextTemp;
}
return prev;
}
ListNode* endOfFirstHalf(ListNode* head) {
ListNode* fast = head;
ListNode* slow = head;
while (fast->next != nullptr && fast->next->next != nullptr) {
fast = fast->next->next;
slow = slow->next;
}
return slow;
}
};
3.双向链表(还没看)
#include <iostream>
using namespace std;
struct ListNode
{
int val;
ListNode* prev;
ListNode* next;
ListNode() : val(0), prev(nullptr), next(nullptr) {};
ListNode(int num) : val(num), prev(nullptr), next(nullptr) {};
ListNode(int num, ListNode* p1, ListNode* p2) : val(num), prev(p1), next(p2) {};
};
ListNode* head, * tail;
void add2tail(ListNode* node)
{
node->prev = tail->prev;
node->next = tail;
node->prev->next = node;
tail->prev = node;
}
int main()
{
head = new ListNode(), tail = new ListNode();
head->next = tail;
tail->prev = head;
int num;
cout << "Please input number or press Ctrl + D: " << endl;
while (cin >> num)
{
ListNode* ptr = new ListNode(num);
add2tail(ptr);
cout << "Please input number or press Ctrl + D: " << endl;
}
cout << "The result is: ";
ListNode* ptr1 = head, * ptr2 = tail;
bool flag = true;
while (ptr1 != ptr2 && ptr2->next != ptr1)
{
if (ptr1->val == ptr2->val)
{
ptr1 = ptr1->next;
ptr2 = ptr2->prev;
}
else
{
flag = false;
break;
}
}
if (flag) cout << "True" << endl;
else
{
cout << "False" << endl;
}
return 0;
}
83. 删除排序链表中的重复元素
一次遍历
class Solution { public: ListNode* deleteDuplicates(ListNode* head) { if(!head) return head; ListNode* cur = head; while(cur->next) { if(cur->val == cur->next->val) cur->next = cur->next->next; else cur = cur->next; } return head; } };双指针
class Solution { public: ListNode* deleteDuplicates(ListNode* head) { if(!head || !head->next) return head; ListNode* fast = head; ListNode* slow = head; while(fast) { //fast指针找到第一个与slow指针不同的元素 if(fast->val != slow->val) { slow->next = fast; slow = fast; } else fast = fast->next; } //若最后几个元素是重复的,slow指向null slow->next = nullptr; return head; } };206. 反转链表
迭代
遍历当前节点pNode,预先保存链表顺序中的后一个节点pNext,让pNode指向链表顺序中的前一个节点pPrev,再让pNext指向pNode
/**
* Definition for singly-linked list.
* struct ListNode {
* int val;
* ListNode *next;
* ListNode() : val(0), next(nullptr) {}
* ListNode(int x) : val(x), next(nullptr) {}
* ListNode(int x, ListNode *next) : val(x), next(next) {}
* };
*/
class Solution {
public:
ListNode* reverseList(ListNode* head) {
ListNode* reversehead = nullptr;
ListNode* pPrev = nullptr;
ListNode* pNode = head;
while(pNode != nullptr)//遍历单链表
{
ListNode *pNext = pNode->next;
if(pNext == nullptr) reversehead = pNode;//反转链表的头节点
//第一次循环,链表的第一个节点为反转链表的最后一个节点,链表的尾节点为nullptr,故pPrev初始化为nullptr
pNode->next = pPrev;
//pPrev,pNode按照链表顺序向后移一位
pPrev = pNode;
pNode = pNext;
}
return reversehead;
}
};
递归
class Solution { public: ListNode* reverseList(ListNode* head) { //1.head == nullptr,链表为空的情况 //2.head->next == nullptr,递归的终止条件,返回链表的尾节点 if(head == nullptr || head->next == nullptr) return head; ListNode* reversehead = reverseList(head->next); //当前递归层head->next节点之后的节点已反转,只需使head->next->next指向head head->next->next = head; head->next = nullptr; return reversehead; } };92. 反转链表 II
/** * Definition for singly-linked list. * struct ListNode { * int val; * ListNode *next; * ListNode() : val(0), next(nullptr) {} * ListNode(int x) : val(x), next(nullptr) {} * ListNode(int x, ListNode *next) : val(x), next(next) {} * }; */ class Solution { public: ListNode* reverseBetween(ListNode* head, int left, int right) { //在head前头插一个虚拟头节点dummyhead //为了避开head是否会反转的分类问题,最后返回dummyhead->next ListNode* dummyhead = new ListNode(); dummyhead->next = head; //初始化指针g和p ListNode* g = dummyhead; ListNode* p = dummyhead->next; //将g移动到第一个要反转的节点left的前面,将p移动到left的位置上 for(int i = 0; i < left - 1; i ++) { g = g->next; p = p->next; } //头插法反转,将p之后的right - left个节点依次插到g之后 for(int i = 0; i < right - left; i ++) { ListNode* moved = p->next; p->next = p->next->next; moved->next = g->next; g->next = moved; } return dummyhead->next; } };25. K 个一组翻转链表
尾插法 题解

/**
* Definition for singly-linked list.
* struct ListNode {
* int val;
* ListNode *next;
* ListNode() : val(0), next(nullptr) {}
* ListNode(int x) : val(x), next(nullptr) {}
* ListNode(int x, ListNode *next) : val(x), next(next) {}
* };
*/
class Solution {
public:
ListNode* reverseKGroup(ListNode* head, int k) {
ListNode* dummyhead = new ListNode();
dummyhead->next = head;
ListNode* pre = dummyhead;
ListNode* end = dummyhead;
if(head == nullptr || head->next == nullptr) return head;
while(end != nullptr)
{
for(int i = 0; i < k && end != nullptr; i ++)
end = end->next;
if(end == nullptr) break;
ListNode* start = pre->next;
ListNode* next = end->next;
end->next = nullptr;
pre->next = reverseList(start);
start->next = next;
pre = start;
end = start;
}
return dummyhead->next;
}
//反转链表
//遍历当前节点pNode,预先保存链表顺序中的后一个节点pNext,让pNode指向链表顺序中的前一个节点pPrev,再让pNext指向pNode
//返回反转后的链表头节点pPre
ListNode* reverseList(ListNode* head)
{
ListNode* pNode = head;
ListNode* pPre = nullptr;
while(pNode != nullptr)
{
ListNode* pNext = pNode->next;
pNode->next = pPre;
pPre = pNode;
pNode = pNext;
}
return pPre;
}
};
递归 题解
class Solution { public: ListNode* reverseKGroup(ListNode* head, int k) { ListNode* cur = head; int count = 0; while(cur && count < k) { count ++; cur = cur->next; } if(count == k) { cur = reverseKGroup(cur, k);//递归返回后一层已反转链表的头节点 while(count) { count --; ListNode* tmp = head->next; head->next = cur; cur = head; head = tmp; } head = cur;//当前递归层中反转后,头节点应为原head节点移动count-1次,即为cur } return head; } };栈 题解
class Solution { public: ListNode* reverseKGroup(ListNode* head, int k) { ListNode* preHead = new ListNode(-1); // fake head preHead->next = head; int cnt = 0; // cnt counts to k stack<ListNode *> stemp; ListNode* p = head; // p is the pointer iterating through the whole linked list ListNode* preLog = preHead; //preLog deals with the linkage with the last part ListNode* preLogNext = preHead->next; //preLogNext deals with the linkage with the next part while(p != NULL){ //loop through the linked list, only once, so the time complexity is O(n) stemp.push(p); cnt++; if(cnt == k){ //using the maximum space of stack of size k ListNode* first = stemp.top(); preLogNext = first->next; //record the linkage to the next part stemp.pop(); ListNode* now = first; while(!stemp.empty()){ ListNode* top1 = stemp.top(); now->next = top1; now = now->next; stemp.pop(); } preLog->next = first; //link to the last part preLog = now; // reset the preLog to the last node in the k nodes group preLog->next = preLogNext; //link to the next part cnt =0; p = now; // it's important to set p to the right position of reversed k nodes group } p = p->next; } return preHead->next; //taking advantage of the fake head } };拓展:不足k个也要反转
尾插法:
//27行改为
if(end == nullptr)
{
pre->next = reverseList(pre->next);
break;
}
递归:
//12行改为
if(count && count <= k)
哈希表
146. LRU 缓存机制
/*
哈希表快速查找的特性
双向链表快速添加删除节点的特性
*/
//手写双链表
struct DLinkedNode{
int key, value;
DLinkedNode* prev;
DLinkedNode* next;
DLinkedNode(): key(0), value(0), prev(nullptr), next(nullptr){}
DLinkedNode(int _key, int _value): key(_key), value(_value), prev(nullptr), next(nullptr){}
};
class LRUCache {
private:
unordered_map<int, DLinkedNode*> cache;//哈希链表
int size, cap;
DLinkedNode* head;
DLinkedNode* tail;
public:
LRUCache(int capacity):cap(capacity), size(0) {
//使用伪头部和伪尾部节点
head = new DLinkedNode();
tail = new DLinkedNode();
head->next = tail;
tail->prev = head;
}
int get(int key) {
//如果key不存在,返回-1
if(!cache.count(key)) return -1;
//如果key存在
DLinkedNode* node = cache[key];//通过key在哈希表中定位,得到对应的双链表节点
moveToHead(node);
return node->value;
}
void put(int key, int value) {
//如果key不存在
//1.将<key, node>添加到哈希表中
//2.在虚拟头节点前插入新节点node
//3.cache的size加1
//4.判断size是否超过最大容量cap
if(!cache.count(key))
{
DLinkedNode* node = new DLinkedNode(key, value);
cache[key] = node;
addToHead(node);
++ size;
//如果超出容量
//1.删除双向链表的尾节点(虚拟尾节点之前)
//2.删除哈希表中对应的项
//3.delete被删除的点,防止内存泄漏
//4.cache的size减1
if(size > cap){
DLinkedNode* removed = removeTail();
cache.erase(removed->key);
delete removed;
size --;
}
}
//如果key存在
//1.通过哈希表定位到双链表节点
//2.修改value
//3.将该节点移到头部
else
{
DLinkedNode* node = cache[key];
node->value = value;
moveToHead(node);
}
}
void moveToHead(DLinkedNode* node)//双向链表:将该节点移动到虚拟头节点后面
{
removeNode(node);
addToHead(node);//在头节点插入node
}
void removeNode(DLinkedNode* node)//双向链表:删除node
{
node->prev->next = node->next;
node->next->prev = node->prev;
}
void addToHead(DLinkedNode* node)//双向链表:在虚拟头节点后面插入node
{
node->prev = head;
node->next = head->next;
head->next->prev = node;
head->next = node;
}
DLinkedNode* removeTail()//双向链表:删除的尾节点(虚拟尾节点之前),并返回被删除的节点
{
DLinkedNode* node = tail->prev;
removeNode(node);
return node;
}
};
/**
* Your LRUCache object will be instantiated and called as such:
* LRUCache* obj = new LRUCache(capacity);
* int param_1 = obj->get(key);
* obj->put(key,value);
*/
1. 两数之和
题解
哈希表O(1)查找
hashtable(nums[x]) = x
class Solution {
public:
vector<int> twoSum(vector<int>& nums, int target) {
unordered_map<int, int> hashtable;
for(int i = 0; i < nums.size(); ++i){
auto it = hashtable.find(target - nums[i]);
if(it != hashtable.end()){
return {it -> second, i};
}
hashtable[nums[i]] = i;
}
return {};
}
};

