动态规划,英文:Dynamic Programming,简称DP,如果某一问题有很多重叠子问题,使用动态规划是最有效的。
所以动态规划中每一个状态一定是由上一个状态推导出来的,这一点就区分于贪心,贪心没有状态推导,而是从局部直接选最优的,
找问题的最好方式就是把dp数组打印出来,看看究竟是不是按照自己思路推导的!
做动规的题目,写代码之前一定要把状态转移在dp数组的上具体情况模拟一遍,心中有数,确定最后推出的是想要的结果。
思考这三个问题:
- 确定dp数组(dp table)以及下标的含义
- 确定递推公式
- dp数组如何初始化
- 确定遍历顺序
- 举例推导dp数组
一、斐波那契数,
通常⽤ F(n) 表示,形成的序列称为 斐波那契数列 。该数列由 0 和 1 开始,后⾯的每⼀项数字都是前⾯两项数字的和。也就是:F(0) = 0,F(1) = 1<br />F(n) = F(n - 1) + F(n - 2),其中 n > 1<br />给你n ,请计算 F(n) 。<br />示例 1: 输⼊:2 输出:1<br />解释:F(2) = F(1) + F(0) = 1 + 0 = 1<br />示例 2: 输⼊:3 输出:2<br />解释:F(3) = F(2) + F(1) = 1 + 1 = 2<br />示例 3: 输⼊:4 输出:3<br />解释:F(4) = F(3) + F(2) = 2 + 1 = 3<br />提示:0 <= n <= 30
斐波那契数列⼤家应该⾮常熟悉不过了,⾮常适合作为动规第⼀道题⽬来练练⼿。因为这道题⽬⽐较简单,可能⼀些同学并不需要做什么分析,直接顺⼿⼀写就过了。 但「代码随想录」的⻛格是:简单题⽬是⽤来加深对解题⽅法论的理解的。<br />通过这道题⽬让⼤家可以初步认识到,按照动规五部曲是如何解题的。<br />对于动规,如果没有⽅法论的话,可能简单题⽬可以顺⼿⼀写就过,难⼀点就不知道如何下⼿了。<br />所以我总结的动规五部曲,是要⽤来贯穿整个动态规划系列的,就像之前讲过⼆叉树系列的递归三部 曲,回溯法系列的回溯三部曲⼀样。后⾯慢慢⼤家就会体会到,动规五部曲⽅法的重要性。<br />动态规划<br />动规五部曲:<br />这⾥我们要⽤⼀个⼀维dp数组来保存递归的结果
解题思路五部曲
- 确定dp数组以及下标的含义
dp[i]的定义为:第i个数的斐波那契数值是dp[i] - 确定递推公式
为什么这是⼀道⾮常简单的⼊⻔题⽬呢?
因为题⽬已经把递推公式直接给我们了:状态转移⽅程 dp[i] = dp[i - 1] + dp[i - 2]; - dp数组如何初始化
题⽬中把如何初始化也直接给我们了,如下: - 确定遍历顺序
从递归公式dp[i] = dp[i - 1] + dp[i - 2];中可以看出,dp[i]是依赖 dp[i - 1] 和 dp[i - 2],那么遍历的顺序
⼀定是从前到后遍历的 - 举例推导dp数组
按照这个递推公式dp[i] = dp[i - 1] + dp[i - 2],我们来推导⼀下,当N为10的时候,dp数组应该是如下的数列:0 1 1 2 3 5 8 13 21 34 55
如果代码写出来,发现结果不对,就把dp数组打印出来看看和我们推导的数列是不是⼀致的。 以上我们⽤动规的⽅法分析完了,C++代码如下: ```c
class Solution
{public:
int fib(int N) {
if (N <= 1) return N;
vector
时间复杂度:O(n) 空间复杂度:O(n)<br />当然可以发现,我们只需要维护两个数值就可以了,不需要记录整个序列。 代码如下:
```c
class Solution
{public:
int fib(int N) {
if (N <= 1) return N;
int dp[2];
dp[0] = 0;
dp[1] = 1;
for (int i = 2; i <= N; i++) {
int sum = dp[0] + dp[1];
dp[0] = dp[1];
dp[1] = sum;
}
return dp[1];
}
};
时间复杂度:O(n) 空间复杂度:O(1)
递归解法
本题还可以使⽤递归解法来做代码如下:
class Solution
{public:
int fib(int N) {
if (N < 2) return N;
return fib(N - 1) + fib(N - 2);
}
};
时间复杂度:O(2^n)
空间复杂度:O(n) 算上了编程语⾔中实现递归的系统栈所占空间
二、爬楼梯
假设你正在爬楼梯。需要 n 阶你才能到达楼顶。
每次你可以爬 1 或 2 个台阶。你有多少种不同的⽅法可以爬到楼顶呢? 注意:给定 n 是⼀个正整数。
示例 1: 输⼊: 2
输出: 2
解释: 有两种⽅法可以爬到楼顶。
1. 1 阶 + 1 阶
2. 2 阶
示例 2: 输⼊: 3
输出: 3
解释: 有三种⽅法可以爬到楼顶。
1. 1 阶 + 1 阶 + 1 阶
2.1阶 + 2阶
3.2阶 + 1阶
解题思路五部曲
1. 确定dp数组以及下标的含义
dp[i]: 爬到第i层楼梯,有dp[i]种⽅法
2. 确定递推公式
如果可以推出dp[i]呢?
从dp[i]的定义可以看出,dp[i] 可以有两个⽅向推出来。
⾸先是dp[i - 1],上i-1层楼梯,有dp[i - 1]种⽅法,那么再⼀步跳⼀个台阶不就是dp[i]了么。还有就是dp[i - 2],上i-2层楼梯,有dp[i - 2]种⽅法,那么再⼀步跳两个台阶不就是dp[i]了么。那么dp[i]就是dp[i - 1]与dp[i - 2]之和!
所以dp[i] = dp[i - 1] + dp[i - 2] 。
在推导dp[i]的时候,⼀定要时刻想着dp[i]的定义,否则容易跑偏。这体现出确定dp数组以及下标的含义的重要性!
3. dp数组如何初始化
在回顾⼀下dp[i]的定义:爬到第i层楼梯,有dp[i]中⽅法。
那么i为0,dp[i]应该是多少呢,这个可以有很多解释,但都基本是直接奔着答案去解释的。
例如强⾏安慰⾃⼰爬到第0层,也有⼀种⽅法,什么都不做也就是⼀种⽅法即:dp[0] = 1,相当于直接站在楼顶。
但总有点牵强的成分。
那还这么理解呢:我就认为跑到第0层,⽅法就是0啊,⼀步只能⾛⼀个台阶或者两个台阶,然⽽楼层是
0,直接站楼顶上了,就是不⽤⽅法,dp[0]就应该是0.
其实这么争论下去没有意义,⼤部分解释说dp[0]应该为1的理由其实是因为dp[0]=1的话在递推的过程 中i从2开始遍历本题就能过,然后就往结果上靠去解释dp[0] = 1。
从dp数组定义的⻆度上来说,dp[0] = 0 也能说得通。
需要注意的是:题⽬中说了n是⼀个正整数,题⽬根本就没说n有为0的情况。 所以本题其实就不应该讨论dp[0]的初始化!
我相信dp[1] = 1,dp[2] = 2,这个初始化⼤家应该都没有争议的。
所以我的原则是:不考虑dp[0]如果初始化,只初始化dp[1] = 1,dp[2] = 2,然后从i = 3开始递推,这样才符合dp[i]的定义。
4. 确定遍历顺序
从递推公式dp[i] = dp[i - 1] + dp[i - 2];中可以看出,遍历顺序⼀定是从前向后遍历的
5. 举例推导dp数组
举例当n为5的时候,dp table(dp数组)应该是这样的
// 版本⼀
class Solution
{ public:
int climbStairs(int n) {
if (n <= 1) return n; /* 因为下⾯直接对dp[2]操作了,防⽌空指针*/
vector<int> dp(n + 1); dp[1] = 1;
dp[2] = 2;
for (int i = 3; i <= n; i++) { /*注意i是从3开始的*/
dp[i] = dp[i - 1] + dp[i - 2];
}
return dp[n];
}
};
时间复杂度:O(n) 空间复杂度:O(n)
当然依然也可以,优化⼀下空间复杂度,代码如下:
// 版本⼆
class Solution
{ public:
int climbStairs(int n) { if (n <= 1) return n; int dp[3];
dp[1] = 1;
dp[2] = 2;
for (int i = 3; i <= n; i++) { int sum = dp[1] + dp[2]; dp[1] = dp[2];
dp[2] = sum;
}
return dp[2];
}
};
三、最小花费爬楼梯
数组的每个下标作为一个阶梯,第 i 个阶梯对应着一个非负数的体力花费值 cost[i](下标从 0 开始)。
每当你爬上一个阶梯你都要花费对应的体力值,一旦支付了相应的体力值,你就可以选择向上爬一个阶梯或者爬两个阶梯。
请你找出达到楼层顶部的最低花费。在开始时,你可以选择从下标为 0 或 1 的元素作为初始阶梯。
示例 1:
输入:cost = [10, 15, 20] 输出:15 解释:最低花费是从 cost[1] 开始,然后走两步即可到阶梯顶,一共花费 15 。 示例 2:
输入:cost = [1, 100, 1, 1, 1, 100, 1, 1, 100, 1] 输出:6 解释:最低花费方式是从 cost[0] 开始,逐个经过那些 1 ,跳过 cost[3] ,一共花费 6 。
提示:
- cost 的长度范围是 [2, 1000]。
- cost[i] 将会是一个整型数据,范围为 [0, 999] 。
解题思路
1. 确定dp数组及其含义
dp[i]的定义:到达第i个台阶所花费的最少体力为dp[i]。(注意这里认为是第一步一定是要花费)
2. 确定递推公式
有两个途径得到dp[i]:dp[i-1]和dp[i-2]
那选哪个呢?注意我们dp[i]的含义是花费的最少体力
因而 dp[i] = min(dp[i-1] , dp[i-2])+cost[i]
注意这里为什么是加cost[i],而不是cost[i-1],cost[i-2]之类的,因为题目中说了:每当你爬上一个阶梯你都要花费对应的体力值
3. dp数组及其初始化
dp[i]由dp[i-1],dp[i-2]推出,既然初始化所有的dp[i]是不可能的,那么只初始化
dp[0]和dp[1]就够了,其他的最终都是dp[0]dp[1]推出
vector<int> dp(cost.size());
dp[0] = cost[0];
dp[1] = cost[1];
4. 确定遍历顺序
dp[i]是由dp[i-1]dp[i-2]推出,所以是从前到后遍历cost数组就可以了
5. 举例推导dp数组
拿示例2:cost = [1, 100, 1, 1, 1, 100, 1, 1, 100, 1],来模拟⼀下dp数组的状态变化
具体代码实现如下
Class solution
{ public:
int minCostlimbingstairs(vector<int>& cost) {
vector<int> dp(cost.size());
dp[0] = cost[0];
dp[1] = cost[1];
for(int i = 2; i < cost.size(); i++){
dp[i] = min(dp[i-1], dp[i-2]) + cost[i];
}
// 注意最后一步可以理解为不用花费,所以取倒数第一步,第二步的最少值
return min(dp[cost.size()-1], dp[cost.size()-2]);
}
};
时间复杂度O(n)
空间复杂度O(n)
还可以优化时间复杂度
Class solution
{ public:
int minCostlibingstairs()vector<int>& cost) {
int dp0 = cost[0];
int dp1 = cost[1];
for(int i = 2; i < cost.size(); i++) {
int dp2 = min(dp1, dp0) + cost[i];
dp0 = dp1;
dp1 = dp2;
}
return dp2;
}
};
四、不同路径问题
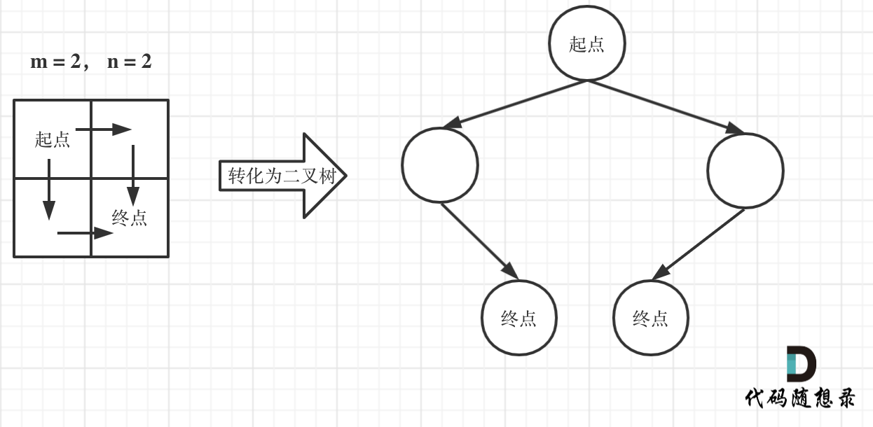
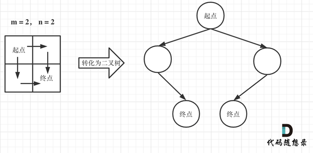
一个机器人位于一个 m x n 网格的左上角 (起始点在下图中标记为 “Start” )。
机器人每次只能向下或者向右移动一步。机器人试图达到网格的右下角(在下图中标记为 “Finish” )。
问总共有多少条不同的路径?
示例 1:
输入:m = 3, n = 7 输出:28
示例 2: 输入:m = 2, n = 3 输出:3 解释: 从左上角开始,总共有 3 条路径可以到达右下角。
- 向右 -> 向右 -> 向下
- 向右 -> 向下 -> 向右
- 向下 -> 向右 -> 向右
示例 3: 输入:m = 7, n = 3 输出:28
示例 4: 输入:m = 3, n = 3 输出:6
提示:
- 1 <= m, n <= 100
- 题目数据保证答案小于等于 2 * 10^9
1、深度搜索
这道题目,刚一看最直观的想法就是用图论里的深搜,来枚举出来有多少种路径。
注意题目中说机器人每次只能向下或者向右移动一步,那么其实机器人走过的路径可以抽象为一颗二叉树,而叶子节点就是终点!
如图举例:
此时问题就可以转化为求二叉树叶子节点的个数,代码如下: ```c class Solution { private: int dfs(int i, int j, int m, int n) {
} public: int uniquePaths(int m, int n) {if (i > m || j > n) return 0; // 越 界 了 if (i == m && j == n) return 1; // 找到⼀种⽅法,相当于找到了叶⼦节点 return dfs(i + 1, j, m, n) + dfs(i, j + 1, m, n);
} };return dfs(1, 1, m, n);
**大家如果提交了代码就会发现超时了!**<br />来分析一下时间复杂度,这个深搜的算法,其实就是要遍历整个二叉树。<br />这颗树的深度其实就是m+n-1(深度按从1开始计算)。<br />那二叉树的节点个数就是 2^(m + n - 1) - 1。可以理解深搜的算法就是遍历了整个满二叉树(其实没有遍历整个满二叉树,只是近似而已)<br />所以上面深搜代码的时间复杂度为O(2^(m + n - 1) - 1),可以看出,这是指数级别的时间复杂度,是非常大的。
<a name="qxyLk"></a>
#### 2、动态规划
<a name="EoHyQ"></a>
#### 解题思路
机器人从(0 , 0) 位置出发,到(m - 1, n - 1)终点。<br />按照动规五部曲来分析:
1. **确定dp数组(dp table)的含义**
dp[i][j]表示从(0,0)出发到(i,j)有多少条不同的路径
2. **确定递推公式**
想要求dp[i][j],只能从两个方向推得 dp[i-1][j]和dp[i][j-1]<br />回顾一下 dp[i - 1][j] 表示啥,是从(0, 0)的位置到(i - 1, j)有几条路径,dp[i][j - 1]同理。<br />那么很自然,dp[i][j] = dp[i - 1][j] + dp[i][j - 1],因为dp[i][j]只有这两个方向过来。
3. **dp数组的初始化**
显然从(0,0)到(i,0)以及(0,j)均只有一种路径<br />故:初始化如下
```c
for(int i = 0; i < m; i++) dp[i][0] = 1;
for(int j = 0; i < n; j++) dp[0][j] = 1;
- 确定遍历顺序
显然dp[i][j] = dp[i-1][j] + dp[i][j-1];dp[i][j]由其上方和左方推导得来,那么从左到右,一层一层遍历即可。
- 举例推导dp数组
代码如下
Class Solution
{ public:
int uniquePaths(int m, int n) {
vector<vrctor<int>> dp(m, vector<int>(n, 0));
for(int i = 0; i < m; i++) dp[i][0] = 1;
for(int j = 0; j < n; j++) dp[0][j] = 1;
for(int i = 1; i < m; i++)
for(int j = 1; j < n; j++)
dp[i][j] = dp[i - 1][j] + dp[i][j - 1];
return dp[m - 1][n - 1];
}
};
时间复杂度:O(mn)
空间复杂度:O(mn)
空间复杂度优化
Class Solution
{ public:
int uniquePaths(int m, int n) {
vrctor<int> dp(n);
for(int i = 0; i < m; i++) dp[i] = 1;
for(int j = 0; j < m; j++) {
for(int i = 1; i < n; i++)
dp[i] += dp[i-1];
}
return dp[n - 1];
}
};
3、数论
在这个图中,可以看出⼀共m,n的话,⽆论怎么⾛,⾛到终点都需要 m + n - 2 步。
在这m + n - 2 步中,⼀定有 m - 1 步是要向下⾛的,不⽤管什么时候向下⾛。
那么有⼏种⾛法呢? 可以转化为,给你m + n - 2个不同的数,随便取m - 1个数,有⼏种取法。那么这就是⼀个组合问题了。
求组合的时候,要防⽌两个int相乘溢出! 所以不能把算式的分⼦都算出来,分⺟都算出来再做除法。
代码如下
Class Solution
{ public:
int uniquePaths(int m, int n) {
long long numerator = 1; // 分 ⼦
int denominator = m - 1; // 分 ⺟
int count = m - 1;
int t = m + n - 2;
while (count--) {
numerator *= (t--);
while (denominator != 0 && numerator % denominator == 0) {
numerator /= denominator; denominator--;
}
}
return numerator;
}
};
五、不同路径问题(带障碍)
一个机器人位于一个 m x n 网格的左上角 (起始点在下图中标记为“Start” )。
机器人每次只能向下或者向右移动一步。机器人试图达到网格的右下角(在下图中标记为“Finish”)。
现在考虑网格中有障碍物。那么从左上角到右下角将会有多少条不同的路径?
网格中的障碍物和空位置分别用 1 和 0 来表示。
示例 1:
输入:obstacleGrid = [[0,0,0],[0,1,0],[0,0,0]] 输出:2 解释: 3x3 网格的正中间有一个障碍物。 从左上角到右下角一共有 2 条不同的路径:
- 向右 -> 向右 -> 向下 -> 向下
- 向下 -> 向下 -> 向右 -> 向右
示例 2:
输入:obstacleGrid = [[0,1],[0,0]] 输出:1
提示:
- m == obstacleGrid.length
- n == obstacleGrid[i].length
- 1 <= m, n <= 100
- obstacleGrid[i][j] 为 0 或 1
解题思路五部曲
- 确定dp数组及其下标含义
dp[i][j] : 表示从(0 ,0)出发,到(i, j) 有dp[i][j]条不同的路径。
- 确定递推公式
但这里需要注意一点,因为有了障碍,(i, j)如果就是障碍的话应该就保持初始状态(初始状态为0)。
if (obstacleGrid[i][j] == 0) { // 当(i, j)没有障碍的时候,再推导dp[i][j]
dp[i][j] = dp[i - 1][j] + dp[i][j - 1];
}
- dp数组的初始化
显然dp[i][0],dp[0][j]都应该是1,(如果途中没有障碍的话)
因而代码
for (int i = 0; i < m && obstacleGrid[i][0] == 0; i++) dp[i][0] = 1;
for (int j = 0; j < n && obstacleGrid[0][j] == 0; j++) dp[0][j] = 1;
- 确定遍历顺序
显然从左至右,一层一层遍历
for (int i = 1; i < m; i++) {
for (int j = 1; j < n; j++) {
if (obstacleGrid[i][j] == 1) continue;
dp[i][j] = dp[i - 1][j] + dp[i][j - 1];
}
}
- 举例推导dp数组
拿示例1来举例如题:
对应的dp table 如图:
如果这个图看不同,建议在理解一下递归公式,然后照着文章中说的遍历顺序,自己推导一下!
动规五部分分析完毕,对应C++代码如下:
class Solution {
public:
int uniquePathsWithObstacles(vector<vector<int>>& obstacleGrid) {
int m = obstacleGrid.size();
int n = obstacleGrid[0].size();
vector<vector<int>> dp(m, vector<int>(n, 0));
for (int i = 0; i < m && obstacleGrid[i][0] == 0; i++) dp[i][0] = 1;
for (int j = 0; j < n && obstacleGrid[0][j] == 0; j++) dp[0][j] = 1;
for (int i = 1; i < m; i++)
for(int j = 1; j < n; j++)
dp[i][j] = dp[i - 1][j] + dp[i][j - 1];
return dp[n - 1][m - 1];
}
};
- 时间复杂度O(n * m) n m 分别为obstacleGrid 长度和宽度
- 空间复杂度O(n * m)
六、整数拆分
给定一个正整数 n,将其拆分为至少两个正整数的和,并使这些整数的乘积最大化。 返回你可以获得的最大乘积。
示例 1: 输入: 2 输出: 1
\解释: 2 = 1 + 1, 1 × 1 = 1。
示例 2: 输入: 10 输出: 36 解释: 10 = 3 + 3 + 4, 3 × 3 × 4 = 36。 说明: 你可以假设 n 不小于 2 且不大于 58。动规五部曲,分析如下:
- 确定dp数组(dp table)以及下标的含义
dp[i]:分拆数字i,可以得到的最大乘积为dp[i]。
dp[i]的定义讲贯彻整个解题过程,下面哪一步想不懂了,就想想dp[i]究竟表示的是啥!
- 确定递推公式
可以想 dp[i]最大乘积是怎么得到的呢?
其实可以从1遍历j,然后有两种渠道得到dp[i].
一个是j (i - j) 直接相乘。
一个是j dp[i - j],相当于是拆分(i - j),对这个拆分不理解的话,可以回想dp数组的定义。
那有同学问了,j怎么就不拆分呢?
j是从1开始遍历,拆分j的情况,在遍历j的过程中其实都计算过了。那么从1遍历j,比较(i - j) j和dp[i - j] j 取最大的。递推公式:dp[i] = max(dp[i], max((i - j) * j, dp[i - j] * j));
也可以这么理解,j (i - j) 是单纯的把整数拆分为两个数相乘,而j dp[i - j]是拆分成两个以及两个以上的个数相乘。
如果定义dp[i - j] dp[j] 也是默认将一个数强制拆成4份以及4份以上了。
**所以递推公式:dp[i] = max({dp[i], (i - j) j, dp[i - j] j});*
那么在取最大值的时候,为什么还要比较dp[i]呢?
因为在递推公式推导的过程中,每次计算dp[i],取最大的而已。
- dp的初始化
不少同学应该疑惑,dp[0] dp[1]应该初始化多少呢?
有的题解里会给出dp[0] = 1,dp[1] = 1的初始化,但解释比较牵强,主要还是因为这么初始化可以把题目过了。
严格从dp[i]的定义来说,dp[0] dp[1] 就不应该初始化,也就是没有意义的数值。
拆分0和拆分1的最大乘积是多少?
这是无解的。
这里我只初始化dp[2] = 1,从dp[i]的定义来说,拆分数字2,得到的最大乘积是1,这个没有任何异议!
- 确定遍历顺序
确定遍历顺序,先来看看递归公式:dp[i] = max(dp[i], max((i - j) j, dp[i - j] j));
dp[i] 是依靠 dp[i - j]的状态,所以遍历i一定是从前向后遍历,先有dp[i - j]再有dp[i]。
枚举j的时候,是从1开始的。i是从3开始,这样dp[i - j]就是dp[2]正好可以通过我们初始化的数值求出来。
所以遍历顺序为:
for (int i = 3; i <= n ; i++) {
for (int j = 1; j < i - 1; j++) {
dp[i] = max(dp[i], max((i - j) * j, dp[i - j] * j));
}
}
- 举例推导dp数组
代码如下
class Solution {
public:
int integerBreak(int n) {
vector<int> dp(n + 1);
dp[2] = 1;
for (int i = 3; i <= n ; i++) {
for (int j = 1; j < i - 1; j++) {
dp[i] = max(dp[i], max((i - j) * j, dp[i - j] * j));
}
}
return dp[n];
}
};
- 时间复杂度:O(n^2)
- 空间复杂度:O(n)
七、不同的二叉搜索树
给定一个整数 n,求以 1 … n 为节点组成的二叉搜索树有多少种?
示例:
来看看n为3的时候,有哪几种情况。
当1为头结点的时候,其右子树有两个节点,看这两个节点的布局,是不是和 n 为2的时候两棵树的布局是一样的啊!
(可能有同学问了,这布局不一样啊,节点数值都不一样。别忘了我们就是求不同树的数量,并不用把搜索树都列出来,所以不用关心其具体数值的差异)
当3为头结点的时候,其左子树有两个节点,看这两个节点的布局,是不是和n为2的时候两棵树的布局也是一样的啊!
当2位头结点的时候,其左右子树都只有一个节点,布局是不是和n为1的时候只有一棵树的布局也是一样的啊!
发现到这里,其实我们就找到的重叠子问题了,其实也就是发现可以通过dp[1] 和 dp[2] 来推导出来dp[3]的某种方式。
思考到这里,这道题目就有眉目了。
dp[3],就是 元素1为头结点搜索树的数量 + 元素2为头结点搜索树的数量 + 元素3为头结点搜索树的数量
元素1为头结点搜索树的数量 = 右子树有2个元素的搜索树数量 * 左子树有0个元素的搜索树数量
元素2为头结点搜索树的数量 = 右子树有1个元素的搜索树数量 * 左子树有1个元素的搜索树数量
元素3为头结点搜索树的数量 = 右子树有0个元素的搜索树数量 * 左子树有2个元素的搜索树数量动规五部曲
- 确定dp数组(dp table)以及下标的含义
dp[i] : 1到i为节点组成的二叉搜索树的个数为dp[i]。
也可以理解是i的不同元素节点组成的二叉搜索树的个数为dp[i] ,都是一样的。
以下分析如果想不清楚,就来回想一下dp[i]的定义
- 确定递推公式
在上面的分析中,其实已经看出其递推关系, dp[i] += dp[以j为头结点左子树节点数量] dp[以j为头结点右子树节点数量]
j相当于是头结点的元素,从1遍历到i为止。
所以递推公式:dp[i] += dp[j - 1] dp[i - j]; ,j-1 为j为头结点左子树节点数量,i-j 为以j为头结点右子树节点数量
- dp数组如何初始化
初始化,只需要初始化dp[0]就可以了,推导的基础,都是dp[0]。
那么dp[0]应该是多少呢?
从定义上来讲,空节点也是一颗二叉树,也是一颗二叉搜索树,这是可以说得通的。
从递归公式上来讲,dp[以j为头结点左子树节点数量] * dp[以j为头结点右子树节点数量] 中以j为头结点左子树节点数量为0,也需要dp[以j为头结点左子树节点数量] = 1, 否则乘法的结果就都变成0了。
所以初始化dp[0] = 1
- 确定遍历顺序
首先一定是遍历节点数,从递归公式:dp[i] += dp[j - 1] * dp[i - j]可以看出,节点数为i的状态是依靠 i之前节点数的状态。
那么遍历i里面每一个数作为头结点的状态,用j来遍历。
代码如下:
for (int i = 1; i <= n; i++) {
for (int j = 1; j <= i; j++) {
dp[i] += dp[j - 1] * dp[i - j];
}
}
- 举例推导dp数组
n为5时候的dp数组状态如图:
当然如果自己画图举例的话,基本举例到n为3就可以了,n为4的时候,画图已经比较麻烦了。
C++代码如下:
class Solution {
public:
int numTrees(int n) {
vector<int> dp(n + 1);
dp[0] = 1;
for(int i = 1; i <= n; i++)
for(int j = 1; j<= i; j++)
dp[i] += dp[i - 1] * dp[i - j];
return dp[n];
}
};
八、买卖股票的最佳时机
给定一个数组 prices ,其中 prices[i] 是一支给定股票第 i 天的价格。
设计一个算法来计算你所能获取的最大利润。你可以尽可能地完成更多的交易(多次买卖一支股票)。
注意:你不能同时参与多笔交易(你必须在再次购买前出售掉之前的股票)。
示例 1:
输入: prices = [7,1,5,3,6,4]
输出: 7
解释: 在第 2 天(股票价格 = 1)的时候买入,在第 3 天(股票价格 = 5)的时候卖出, 这笔交易所能获得利润 = 5-1 = 4 。
随后,在第 4 天(股票价格 = 3)的时候买入,在第 5 天(股票价格 = 6)的时候卖出, 这笔交易所能获得利润 = 6-3 = 3 。
示例 2:
输入: prices = [1,2,3,4,5]
输出: 4
解释: 在第 1 天(股票价格 = 1)的时候买入,在第 5 天 (股票价格 = 5)的时候卖出, 这笔交易所能获得利润 = 5-1 = 4 。
注意你不能在第 1 天和第 2 天接连购买股票,之后再将它们卖出。因为这样属于同时参与了多笔交易,你必须在再次购买前出售掉之前的股票。
示例 3:
输入: prices = [7,6,4,3,1]
输出: 0
解释: 在这种情况下, 没有交易完成, 所以最大利润为 0。
提示:
1 <= prices.length <= 3 * 104
0 <= prices[i] <= 104
作者:力扣 (LeetCode)
链接:https://leetcode-cn.com/leetbook/read/top-interview-questions-easy/x2zsx1/
惯例五部曲
动规五部曲
- 确定dp数组(dp table)以及下标的含义
dp[i][0] : 表示第 i 天持有股票所得的最多现金!【注意不一定是第 i 天买入,也可能是 i - 1 天就已经持有】
dp[i][1]: 表示第 i 天不持有股票所得的最多现金!【注意不一定是第 i 天卖出,也可能是 i - 1 天就已经卖出】
- 确定递推公式
如果第 i 天持有股票,即dp[i][0]:
- 第i-1天就持有,那么保持现状,所得现金就是前一天所持股票的所得。即 dp[i - 1][0]
- 第i天买入股票,所得现金就是买入今天的股票后所得的现金,即dp[i - 1][1] - prices[i]
那么dp[i][0] = max(dp[i - 1][0], dp[i - 1][1] - prices[i])
如果第i天不持有股票:
- 第i-1天就不持有股票,那么保持现状,所得现金就是前一天所持股票的所得。即 dp[i - 1][1]
- 第i天卖出股票,所得现金就是卖出今天的股票之后所得的现金,即dp[i - 1][0] + prices[i]
同样取最大的 dp[i][1] = max(dp[i - 1][1], dp[i -1][0] + prices[i])
- dp数组如何初始化
由dp[i][0] = max(dp[i - 1][0], dp[i - 1][1] - prices[i]), 和dp[i][1] = max(dp[i - 1][1], dp[i -1][0] + prices[i]);可以看出
其基础都是从dp[0][0] 和 dp[0][1]推出
那么dp[0][0] 表示第 0 天持有 此时持有的一定就是买入的了,即dp[0][0] = -prices[0]
dp[0][1] 表示第 0 天不持有股票,那就是0,所以dp[0][0] = 0。
- 确定遍历顺序
dp[i]都是由dp[i - 1]推导出来的,显然从前往后一次遍历即可。
- 举例推导dp数组
以示例2,输入【1,2,3,4,5】为例,dp数组状态如下
那么dp[4][1]就是最终结果,为啥不是dp[4][0]?因为不持有股票所得金钱一定比持有股票所得金钱多。
分析完毕
C++代码如下
class Solution {
public:
int maxProfit(vector<int>& prices) {
int len = prices.size();
vector<vector<int>> dp(len, vector<int>(2,0));
dp[0][0] -= prices[0];
dp[0][1] = 0;
for(int i = 1; i < len; i++) {
dp[i][0] = max(dp[i - 1][0], dp[i - 1][1] - prices[i]);
dp[i][1] = max(dp[i - 1][1], dp[i - 1][0] + prices[i]);
}
return dp[len -1][1];
}
};
时间复杂度 O(n)
空间复杂度 O(n)
可以看出dp[i]只是依赖dp[i - 1]的状态。
那么我们只需记录当前天和前一天的dp状态就可以了,可以使用滚动数组来节省空间,代码如下
class Solution {
public:
int maxProfit(vector<int>& prices) {
int len = prices.size();
vector<vector<int>> dp(2, vector<int>(2));
dp[0][0] -= prices[0];
dp[0][1] = 0;
for(int i = 1; i < len; i++) {
dp[i % 2][0] = max(dp[(i - 1) % 2][0], dp[(i - 1) % 2][1] - prices[i]);
dp[i % 2][1] = max(dp[(i - 1) % 2][1], dp[(i - 1) % 2][0] + prices[i]);
}
return dp[(len - 1) % 2][1];
}
};
时间复杂度 O(n)
空间复杂度 O(1)

