预先知道算法的复杂度是一回事,了解其后的原理是另一件事情。
不管你是计算机科班出身还是想有效解决最优化问题,如果想要用自己的知识解决实际问题,你都必须理解时间复杂度。
先从简单直观的 O(1) 和 O(n) 复杂度说起。O(1) 表示一次操作即可直接取得目标元素(比如字典或哈希表),O(n) 意味着先要检查 n 个元素来搜索目标,但是 O(log n) 是什么意思呢?
你第一次听说 O(log n) 时间复杂度可能是在学二分搜索算法的时候。二分搜索一定有某种行为使其时间复杂度为 log n。我们来看看是二分搜索是如何实现的。
因为在最好情况下二分搜索的时间复杂度是 O(1),最坏情况(平均情况)下 O(log n),我们直接来看最坏情况下的例子。已知有 16 个元素的有序数组。
举个最坏情况的例子,比如我们要找的是数字 13。
每次和中间元素比较都会使搜索范围减半。
所以为了从 16 个元素中找到目标元素,我们需要把数组平均分割 4 次,也就是说,
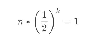
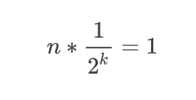
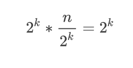
类似的,如果有 n 个元素,
现在来看看「对数」的定义:
为使某数(底数)等于一给定数而必须取的乘幂的幂指数。
也就是说可以写成这种形式
所以 log n 的确是有意义的,不是吗?没有其他什么可以表示这种行为。
就这样吧,我希望我讲得这些你都搞懂了。在从事计算机科学相关的工作时,了解这类知识总是有用的(而且很有趣)。说不定就因为你知道算法的原理,你成了小组里能找出问题的最优解的人呢,谁知道呢。祝好运!













