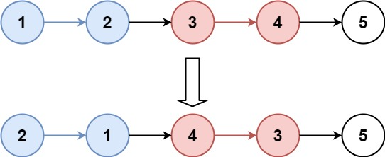
给你一个链表,每 k 个节点一组进行翻转,请你返回翻转后的链表。
k 是一个正整数,它的值小于或等于链表的长度。
如果节点总数不是 k 的整数倍,那么请将最后剩余的节点保持原有顺序。
进阶:
你可以设计一个只使用常数额外空间的算法来解决此问题吗?
你不能只是单纯的改变节点内部的值,而是需要实际进行节点交换。
思路:模 拟
class Solution:def reverseKGroup(self, head: Optional[ListNode], k: int) -> Optional[ListNode]:dummy=ListNode(0) # 用于记录链表的第一个节点dummy.next=headpre=dummywhile head:tail=pre# 查看剩余部分长度是否大于等于kfor i in range(k):tail=tail.nextif not tail: return dummy.next# 剩余节点够k个nxt=tail.next # 记录下一组的第一个节点head,tail=self.reverse(head,tail)# 把子链表重新接回原链表pre.next=headtail.next=nxtpre=tailhead=tail.nextreturn dummy.nextdef reverse(self,head,tail):# 子链表从head到tail反转pre=tail.nextcur=headwhile pre!=tail: # 这里要注意nxt=cur.nextcur.next=prepre=curcur=nxtreturn tail,head
