卷积神经网络之图像卷积操作
百度说卷积神经网络(Convolutional Neural Networks, CNN)是一类包含卷积计算且具有深度结构的前馈神经网络(Feedforward Neural Networks),是深度学习(deep learning)的代表算法之一 [1-2] 。卷积神经网络具有表征学习(representation learning)能力,能够按其阶层结构对输入信息进行平移不变分类(shift-invariant classification),因此也被称为“平移不变人工神经网络(Shift-Invariant Artificial Neural Networks, SIANN)” 别看了没意思的(doge)
教材就给我一段话
反正看的看的是火拉拉会大起来的,学个东西看教材是不可能看教材的,教材里的东西太准确了(可能聪明的人就是字少),但是哎你就是看不懂,哎就是反人性
一开始大概了解了一丢丢就往下学结果把我整迷糊了,所以我就想着一点一点的去吃透它
首先卷积神经网络,什么叫™的叫卷积

????????
就这*东西搞啥
为什么卷积叫卷积
这有什么具体含义嘛
可以找一个生活中具体东西理解嘛
确实有!!!!!!!!
https://www.bilibili.com/video/BV1VV411478
b站有个up主他举了这样一个例子
一个憨憨他一天中都疯狂滴吃呀吃滴例子(稍后讲)
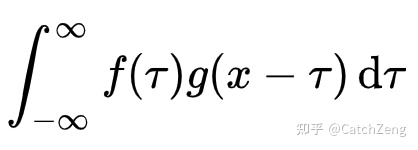
首先我们观察一下
这个卷积式子,就会发现它是两个函数相乘再积分而小括号里的东西加一加永远是相等的
其实积分的本质就是求和,那我们不妨先把积分号去了,函数也变为一串连续的数字
咱就以两串1—20的数字为例(up主是这么举的 doge)
假设这是两场考试,每场考试满分20(不会有人会考0分吧不会吧)
啊我去考了,两门考试加起来30分概率多少
在康康
是不是有那味儿了
那卷积的卷卷在了哪里,我们看到上下两排的树总是交叉着在相乘
我把它强行的扭过来
这样大概就是卷吧(为什么不叫扭积)当然你把它们横向移动可以算29分、31分等等的机会???
那这个动态过程


咱把积分加上说说那个憨憨
(还有其他解释有有空再写我得到外婆家吃饭去,哈哈哈哈啊哈)
那个憨憨就一天到晚,每时每刻不停的吃
每一个瞬间吃掉的东西
那当然还得消化
假设吃就去一丢丢也可以消化,且假设每一时刻的食物独立消化,每种食物的消化速度一样,(算了直接一直吃qq糖吧),这个函数表示我吃qq糖在某一瞬间在肚子里还剩多少
那现在的一个实际问题来了从早上8点到下午3点,我肚子还有多少qq糖(细想这东西乍一看挺复杂,食物不停进,也不断在消化咋算?)
What‘up 卷一下就行了!!!!!!!!
8点吃掉的qq糖在15点还有多少f(8)g(15-8) 消化7小时
9点呢 f(9)g(15-9) 消化6小时10点的
9点零1分的
9点零1秒呢
加起来不就是积分吗
再康康






这只是一种卷的理解
好了卷积讲完那卷积神经网络是什么呢???
按王木头的大白话讲就是
卷积神经网络的主要用途是识别图片里的内容,在图像交给神经网络之前,先进卷积操作
小小脑袋大大疑惑从一开始我就疑惑到底是什么神秘力量让我们分清牛和马(可能一般都有是猫和狗)何况机器,卷积怎么搭上边的啊,就两个函数啊
那么是怎么进行图像的卷积操作的呢?
图像进行卷积操作的意义在哪?

要处理的图片我们可以把它看作为一个一个的像素点组成的
每个像素点里的信息都可以表示
那什么是图像的卷积操作呢?
一般是用一个3x3(一般用3x3,也可以其他的)的卷积核扣在原像素上面,然后对应的一一相乘再相加,把结果输出在新的3x3,这就在新图片上得到了一个新像素点的新“图片“的中心。
我们把结果都扫一遍得到新图像(但是它会少一圈,可以在外圈加0)
图像卷积操作和吃qq糖的操作联系在于哪(简单说原图和卷积核哪个是在吃qq糖,哪个是在消化)?那这个卷积的意义在于什么地方?这个和原图像的区别在哪?
王木头又告诉我
卷积核样子不变(就像是那一条消化的规律,即使你是一只怪兽,食物消化曲线是越来越快的,是波浪的,明天,后天,明年七夕节都不变woc,好像也只怪兽,它每天消化情况完全一致,且不停进食),但是他不停的在扫,每次在原图获得的9个数据一般情况会有变化(我怕你给我张白纸)
我今天和昨天的消化曲线肯定不一样,我昨天火锅冰棍混着吃
联系差不多讲完了,那这个卷积的意义在于哪呢?
怪兽又要吃qq糖了
Woccccccccccc, 卧槽,what’s up 艹,我忽然发现了之前没有发现的东西,而且我发现王木头的的理解有问题,在我之前还有人这么想嘛?我似乎把两个看起来毫不相关的像素建立起来了联系。
回到怪兽每一时刻吃qq糖的状态图,
这条线的每一个点真的是独立的嘛,这条线就是由无数个点组成的嘛,不它灵魂,不只是单单的有无数个点构成,假设你在5:21分吃一颗QQ糖觉得饿了,你可能就会在7:08分吃一包qq糖,反之以前吃的多不饿,你或许就不吃了,或许你在6点觉得开心,但家里没qq糖了,8点才从超市买回来吃。或是在下一小时要见到自己喜欢的女孩子一高兴,就疯狂的吃(当然我不会)或是凌晨3点想到吃夜宵不好不健康就不吃(本来会吃),就是过去和未来都可影响现在的状态。所以最终当你总结的时候才会浮现出那一波三折的曲线,那么那个点会被赋予的含义更多了而不是简单的一个数字,那它的所需要的维度,用来表达的东西更多了,而你真正需要而富有意义的是怪兽的肚子里有多少qq糖
你看这人心情一一定很好
而这是心情、过去、未来影响的进食量(A)和消化曲线(B)通过卷积建立了怪兽肚子里的存货多少(C),而C的每一个点再也不是同一个点而是因为A中每个点互相有联系而建立起了联系。
而原图(A)与卷积核(B)我们通过几个像素的各种属性(RGB)通道等强行与其周围的像素建立联系,而得出C这个新的图像,我们想要有联系,我们得到了我们想要的。
当然你把A不变(只要要素够多),更换B,你可以得到任何你想要的东西C(不只是怪兽肚子里有多少qq糖,比如它的心跳速率,它今晚想打游戏还是学习,它在想哪知雌怪兽) 

最后扭在了哪

众里寻他千百度,蓦然回首,那人正在灯火阑珊处
她在这。

