图

图是一种数据结构,由顶点集和边集
组成,表示为
,其中
代表每个顶点,_代表每条边。
有向图与无向图
有向图
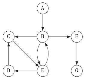
如果图中的边存在方向性,则称这样的边为有向边,包含有向边的图成为有向图。

无向图
无向图中的边都是没有方向的。

加权图与非加权图
加权图
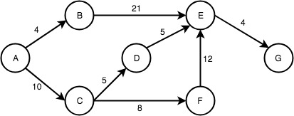
图中的每条边都有一个实数与之相对应,称这样的图为加权图。在世纪场景中,权重可以代表距离或者两人之间的相似程度等,一般情况下认为各边上的权重代表定点之间的连接强度。

非加权图
连通图与非连通图
连通图
非连通图
二部图/二分图

二部图是一类特殊的图,设是一个无向图,如果顶点
可分割为两个互不相交的子集
,并且图中的任意一条边
均有
,
或者
,
,则称图
为一个二分图。二部图是一种十分常见的图数据结构,描述两类对象之间的交互关系,比如:用户和商品,作者与论文
邻居
顶点的度
图的表现形式
邻接矩阵
邻接矩阵是表示顶点之间相邻关系的矩阵。设是具有
个顶点的图,顶点序号依次为
,则
的邻接矩阵是具有如下定义的
阶方阵
:
表示顶点
与顶点
邻接,即
与
之间存在边
表示顶点
与顶点
不邻接,即
与
之间没有边

度矩阵
拉普拉斯矩阵
给定一个有个顶点的图
,其拉普拉斯矩阵被定义为
,
其中为图的度矩阵,
为图的邻接矩阵,拉普拉斯矩阵
:

关联矩阵

关联矩阵的定义如下
用关联矩阵存储图时,我们需要两个一维数组分别表示定点集合和边集合,需要一个二维数组表示关联矩阵。
