141. 环形链表
给你一个链表的头节点 head ,判断链表中是否有环。
如果链表中有某个节点,可以通过连续跟踪 next 指针再次到达,则链表中存在环。 为了表示给定链表中的环,评测系统内部使用整数 pos 来表示链表尾连接到链表中的位置(索引从 0 开始)。如果 pos 是 -1,则在该链表中没有环。注意:pos 不作为参数进行传递,仅仅是为了标识链表的实际情况。
如果链表中存在环,则返回 true 。 否则,返回 false 。
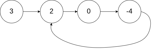
示例 1:
输入:head = [3,2,0,-4], pos = 1 输出:true 解释:链表中有一个环,其尾部连接到第二个节点。
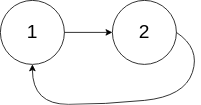
示例 2:
输入:head = [1,2], pos = 0 输出:true 解释:链表中有一个环,其尾部连接到第一个节点。
示例 3:
输入:head = [1], pos = -1 输出:false 解释:链表中没有环。
图解:
fastPointer和slowPointer从头节点开始走,fastPointer每次走两步,slowPointer每次走一步。
若两个节点在中途相遇,代表是环形链表。
终止条件:fastPointer节点本身为null,或fastPointer节点的next节点为null。
package com.coco.learnalgorithmone.linkedlist;import com.coco.learnalgorithmone.linkedlist.entity.ListNode;import com.coco.learnalgorithmone.linkedlist.util.LinkedListUtils;/*** 141. 环形链表* 给你一个链表的头节点 head ,判断链表中是否有环。* <p>* 如果链表中有某个节点,可以通过连续跟踪 next 指针再次到达,则链表中存在环。* 为了表示给定链表中的环,评测系统内部使用整数 pos 来表示链表尾连接到链表中的位置(索引从 0 开始)。* 如果 pos 是 -1,则在该链表中没有环。注意:pos 不作为参数进行传递,仅仅是为了标识链表的实际情况。* <p>* 如果链表中存在环,则返回 true 。 否则,返回 false 。*/public class HasCycle {public static void main(String[] args) {int[] arr = {1, 2, 3, 4, 5, 6};ListNode head = LinkedListUtils.convertToLinkedList(arr);head = LinkedListUtils.convertToCycleLinkedList(head, 2);System.out.println(hasCycle(head));}public static boolean hasCycle(ListNode head) {ListNode fastPointer = head;ListNode slowPointer = head;do {fastPointer = fastPointer.getNext().getNext();slowPointer = slowPointer.getNext();if (fastPointer == null || fastPointer.getNext() == null) {return false;}} while (fastPointer != slowPointer);return true;}}
