什么是回溯
回溯法也可以叫做回溯搜索法,它是一种搜索的方式。
在二叉树系列中,我们已经不止一次,提到了回溯,例如二叉树:以为使用了递归,其实还隐藏着回溯(opens new window)。
回溯是递归的副产品,只要有递归就会有回溯。
应用场景
- 组合问题:N个数里面按一定规则找出k个数的集合
- 切割问题:一个字符串按一定规则有几种切割方式
- 子集问题:一个N个数的集合里有多少符合条件的子集
- 排列问题:N个数按一定规则全排列,有几种排列方式
- 棋盘问题:N皇后,解数独等等
理解回溯法
回溯法解决的问题都可以抽象为树形结构,所有回溯法的问题都可以抽象为树形结构!
因为回溯法解决的都是在集合中递归查找子集,集合的大小就构成了树的宽度,递归的深度,都构成的树的深度。
递归就要有终止条件,所以必然是一颗高度有限的树(N叉树)。
回溯法模板
回溯法三步曲
1、确定方法参数
伪代码如下:
void backtracking(参数)
2、确定终止条件
伪代码如下:
if (终止条件) {存放结果;return;}
3、搜索遍历
回溯法一般是在集合中递归搜索,集合的大小构成了树的宽度,递归的深度构成的树的深度。
如图:
集合的大小决定了for循环横向遍历,递归的深度(即:到达条件时递归的深度)决定树的深度。
伪代码如下:
for (选择:本层集合中元素(树中节点孩子的数量就是集合的大小)) {处理节点;backtracking(路径,选择列表); // 递归回溯,撤销处理结果}
模板代码
综上,回溯算法模板框架,如下:
void backtracking(参数) {if (终止条件) {存放结果;return;}for (选择:本层集合中元素(树中节点孩子的数量就是集合的大小)) {处理节点;backtracking(路径,选择列表); // 递归回溯,撤销处理结果}}
参考
算法案例
组合
电话号码的字母组合
题解
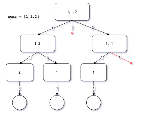
const letterCombinations = function (digits) {const digitsLen= digits.length;const letterMap = [" ", " ", "abc","def","ghi","jkl","mno","pqrs","tuv","wxyz"];// 处理非法情况if (!digitsLen) return [];// 处理长度为1的情况if (digitsLen === 1) {return letterMap[digits[0]].split('');}const res = [], path =[];backtracking(0);return res;function backtracking(index) {if (index === digitsLen) {res.push(path.join('').trim());return;}for(const v of letterMap[digits[index]]) {path.push(v);backtracking(index + 1);path.pop();}}};const res = letterCombinations('21');console.log(res)
组合
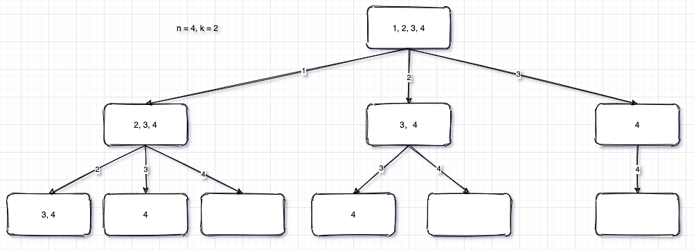
图解
![[77] 组合.png](/uploads/projects/gaga702@wkt6dx/d303ebafcd20cd9d19eaf25755920b8e.png)
题解
/*** @param {number} n* @param {number} k* @return {number[][]}*/var combine = function(n, k) {// n - 集合遍历的广度// k - 递归的深度// 存放结果var res = [];// 符合条件单一结果var item = [];// 遍历集var list = [];for (var i = 0; i < n; i++) {list.push(i+1);}backtracking(0, list)function backtracking(startIndex, path) {if (item.length === k) { // 符合条件终止// 存入结果res.push([].concat(path));return;}for (var i = startIndex, l = list.length; i < l; i++) { // 遍历本节点子集var trackItem = list[i];item.push(trackItem);backtracking(i+1, item);// 回溯item.pop();}}return res;};
组合总和
图解
组合总和ii
图解
组合总和iii
图解
分割问题
分割回文串
图解
复原 IP 地址
图解
子集问题
子集
图解
子集 II
图解
排列问题
全排列
图解
全排列 II
图解

