【数据结构与算法基础】代码仓库:https://github.com/jinrunheng/datastructure-and-algorithm
一:时间复杂度
在计算机科学中,算法的时间复杂度(Time Complexity) 是一个衡量算法性能的重要指标的函数,它定性描述了一个算法的运行时间。我们知道,衡量一个算法的快慢,一定要考虑数据规模的大小。一般来说,数据规模越大,算法的用时就越长。
时间复杂度通常使用大 O 符号来表述,不包括这个函数的的低阶项和高阶项的系数。因此时间复杂度可被称为是渐近的,譬如,一个算法对于输入为 n 的数据规模,至多需要 5n3 + 3n 的时间运行完毕,那么它的渐近时间复杂度为 O(n3),而我们平时所说的时间复杂度指的就是渐进时间复杂度。
那么如何计算时间复杂度呢?同一个算法在不同的计算机上运行的速度必然有一定的差别,并且实际运行速度难以在理论上进行计算,所以,我们通常考虑的不是算法运行的实际用时,而是算法运行所需要进行的基本操作的数量。
在普通的计算机上,加减乘除,访问变量,给变量赋值这些操作都可以看作是基本操作。对基本操作的计数或是估测可以作为评判算法用时的指标。
举个例子:
给定一个数组,和一个目标值,请返回该目标值在数组当中的索引,如果没有则返回 -1
我们可以很轻松地写出这段代码:
int getIndex(int[] nums,int target) {for(int i = 0; i < nums.length; i++)if(target == nums[i])return i;return -1;}
这个算法的时间复杂度该如何估计呢?
在这个算法中,我们依次遍历数组的每一个元素,让其与 target 进行比较,比较这个操作就可以看作是一个基本操作。那么一共需要多少次比较操作呢?我们考虑两种极端的情况,第一种情况是,当 target 根本就不在数组当中时,我们需要遍历整个数组,一共需要执行 n 次比较操作;第二种情况是,数组的第一个元素就是我们要找的那个数字,我们只需要 1 次比较操作就可以将结果返回了。
按照第一种情况来看,这个算法的时间复杂度为 O(n);按照第二种情况来看,这个算法的时间复杂度为 O(1)。第一种情况下的复杂度,我们称为最坏时间复杂度,它是指在最坏的情况下,算法的时间复杂度;第二种情况下的复杂度我们则称为最好时间复杂度,其是指在最优的情况下,算法的时间复杂度。
很显然,这两种情况都是比较极端的,我们的评估应该是在输入实例在等概率出现的情况下,算法的期望运行时间。也就是说,我们要考虑的是一个平均时间复杂度。通过数学期望求解,比较操作的平均发生次数为 n/2,按照复杂度的定义,我们需要忽略高阶项的系数 1/2,所以,该算法的时间复杂度为 O(n)。
二:空间复杂度
空间复杂度(Space Complexity),通常指的是额外空间复杂度,是对一个算法在运行过程中临时占用存储空间大小的量度。这里面额外空间的含义是指,刨去算法本身程序所占的空间大小,输入数据所占的空间大小外,额外的辅助变量所需要的空间与输入数据量 n 的关系,通常我们也是使用大 O 符号来表述的。
我们知道,时间复杂度对应的是算法的时间维度,也就是执行当前算法所消耗的时间;空间复杂度对应的则是算法的空间维度,是指执行当前算法需要占用的内存空间大小,当两个算法的时间复杂度相同时,空间复杂度则是评价这两个算法性能的重要指标之一。
我们来看一个示例:
求连续整数 1 ~ n 的和
我们可以使用两种思路进行求解:
迭代法
int sum(int n){int s = 0;for(int i = 1; i <= n; i++)s += i;return s;}
递归
int sum(int n){if(n == 1)return 1;return sum(n - 1) + n;}
这两个算法均可以求解,且他们的时间复杂度是一样的,均为 O(n);但是迭代算法仅需要一个变量 s 来记录返回结果,其空间复杂度为 O(1),而递归算法则需要开辟额外的栈空间来记录方法返回值,其空间复杂度是 O(n)。所以这两个算法虽然时间复杂度相同,但是空间复杂度是不同的,第一种算法要优于第二种算法。
三:均摊复杂度
在我的文章 🔗【动态数组】里,曾经介绍过均摊复杂度这一概念。
动态数组之所以动态,是因为在向数组添加元素时,如果数组容量为满,就要进行扩容操作,Java 中 util 包下的 ArrayList 就是这样做的。
如果初始化数组的原始 capacity 为 10,开始时,数组内没有任何元素。一直使用addLast(E e)向数组末尾添加元素,在添加10次后,即第十一次再次添加元素则触发了一次扩容操作,扩容操作的复杂度为 O(n),扩容后的capacity为20,即原来的capacity的2倍。而在第21次添加元素操作时,又再次触发了扩容的操作。
本身,向数组末尾添加元素的方法 addLast 是一个 O(1) 级别的算法,但是由于扩容机制的存在,使得该算法的复杂度呈现出这样的一个趋势:

我们对 addLast 操作的复杂度进行分析:
- 第一次 addLast 操作,时间复杂度为 O(1)
- 第二次 addLast 操作,时间复杂度为 O(1)
- 第三次 addLast 操作,时间复杂度为 O(1)
- … …
- 第 n + 1(data.length + 1) 次 addLast 操作,触发 resize,时间复杂度为 O(n)
也就是说:第 n+1 次 addLast 操作会触发一次 resize 方法。
如果将 O(1) 的操作称作 1 次基本操作的话,从第 1 次添加元素至第 n+1 次添加元素,一共进行了2n + 1次基本操作(resize相当于n次基本操作,并且共执行了n+1次addLast操作,所以算上 resize 共执行了 2n + 1 次基本操作)。
计算机做了 2n+1 次基本操作——即:O(1) 的操作,那么平均下来,每1次 addLast,计算机就要做(2n + 1)/(n+1)次 O(1) 操作。也就是说当 n 这个数字趋近无穷大时,则每 1 次 addLast 操作,计算机会进行 2 次基本的 O(1) 操作,那么,这就就可以说明—— addLast 操作和 n 没有关系,它仍然是一个 O(1) 级别的算法。
所以,即便有 resize 扩容这样一个 O(n) 级别的算法夹杂在 addLast 这个方法中,addLast 通过均摊复杂度的思想,仍然是一个 O(1) 级别的算法。
四:主定理
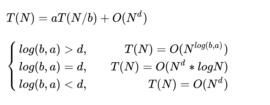
主定理(Master Theorem),可以用来快速求解关于递归算法的复杂度。
对于将一个过程分解成均等子过程的递归算法来说,我们可以使用主定理公式来计算时间复杂度。
公式如下:
公式中,b 代表的含义是递归分解为几个均等的子过程;a 代表的含义是一次递归的子过程执行了几次,O(Nd) 表示除去递归以外,额外需要的过程的时间复杂度。
接下来,我们使用 Master 主定理来分析一个递归算法的复杂度:
设计一个递归算法,要求返回一个无序数组的最大值
代码如下:
int findMax(int[] arr){return findMax(arr,0,arr.length - 1);}int findMax(int[] arr,int l,int r){if(arr == null)throw new IllegalArgumentException("Array is Empty!");if(l == r)return arr[l];int mid = l + ((r - l) >> 1);int maxInLeft = findMax(arr,l,mid);int maxInRight = findMax(arr,mid + 1,r);return maxInLeft > maxInRight ? maxInLeft : maxInRight;}
这个递归算法的本质是将数组劈成两半,递归求出左边最大的值和右边最大的值,然后返回左边最大的值与右边最大的值中最大的数值。
从宏观的角度来看,一个原问题,被分解成了两个均等的子问题,我们对这两个子问题分别进行求解,所以,a = 2,b = 2,最后刨去递归的过程,我们将左边最大的值和右边最大的值进行了一次比较,返回两者中最大的值,这个操作的时间复杂度为 O(1)。
我们将这个递归算法转化为 Master 通式为 2T(N/2) + O(1),即:a = 2,b = 2,d = 0,满足 log(b,a) > d,所以,这个递归算法的时间复杂度为 O(N)。递归调用额外开辟了栈空间,其空间复杂度为 O(N)。
五:常见的算法复杂度
接下来,我会给出几种常见的时间复杂度以及对应的算法示例,这一章节,不要求掌握这几种算法具体的写法,我们只需要有一个大致的印象,在后面的文章中,我们遇到这些算法会再具体分析。
O(1)
举例:
判断给定的数字 n 是否为偶数?
代码:
boolean isEven(int num){return num % 2 == 0;}
O(logn)
举例:
判断某个数字是否在一个已序数组中?
代码:
boolean exist(int[] sortedArr,int target){int l = 0;int r = sortedArr.length - 1;while(l < r){int mid = l + ((r - l) >> 1);if(target < sortedArr[mid])r = mid - 1;else if (target > sortedArr[mid])l = mid + 1;else {return true;}}return sortedArr[l] == target;}
O(√n)
举例:
求解一个数所有的约数?
代码:
List<Integer> getAllDivisor(int num){List<Integer> res = new ArrayList<>();for(int i = 1; i * i <= num; i++){if(num % i == 0) {if(num / i == i)res.add(i);else {res.add(i);res.add(num / i);}}}return res;}
O(n)
举例:
在一个无序数组中,寻找目标值的索引,没有找到则返回 -1
代码:
int linearSearch(int[] nums,int target){for(int i = 0; i < nums.length; i++){if(nums[i] == target)return i;}return -1;}
O(n*logn)
举例:
归并排序
代码:
void mergetSort(int[] arr){if(arr == null || arr.length < 2)return;sort(arr,0,arr.length - 1);}void sort(int[] arr,int l,int r){if(l == r)return;int mid = l + ((r - l) >> 1);sort(arr,l,mid);sort(arr,mid + 1,r);merge(arr,l,mid,r);}void merge(int[] arr,int l,int mid,int r){int p1 = l;int p2 = mid + 1;int[] tmp = new int[r - l + 1];int i = 0;while(p1 <= mid && p2 <= r)tmp[i++] = arr[p1] < arr[p2] ? arr[p1++] : arr[p2++];while(p1 <= mid)tmp[i++] = arr[p1++];while(p2 <= r)tmp[i++] = arr[p2++];for(i = 0; i < tmp.length; i++)arr[l + i] = tmp[i];}
O(n2)
举例:
冒泡排序
代码:
void bubbleSort(int[] arr){for(int i = 0; i < arr.length - 1; i++){for(int j = 0; j < arr.length - 1 - i; j++){if(arr[j] > arr[j + 1])swap(arr,j,j + 1);}}}
O(2n)
举例:
求一个长度为 n 的所有可能的二进制数字
代码:
List<String> getAllBinaryOfLengthN(int n) {List<String> res = new ArrayList<>();if(n == 0)return res;if(n == 1){res.add("0");res.add("1");return res;}List<String> list = getAllBinaryOfLengthN(n - 1);for(String s : list){res.add(s + "0");res.add(s + "1");}return res;}
O(n!)
举例:
代码:
class Solution {public List<List<Integer>> permute(int[] nums) {List<List<Integer>> res = new ArrayList<>();backtrack(nums,0,res);return res;}private void backtrack(int[] nums,int idx,List<List<Integer>> res){if(idx == nums.length)return;if(idx == 0){List<Integer> list = new ArrayList<>();list.add(nums[idx]);res.add(list);}else {int size = res.size();for(int i = 0; i < size; i++){List<Integer> list = res.remove(0);for(int j = 0; j <= list.size(); j++){List<Integer> tmp = new ArrayList<>(list);tmp.add(j,nums[idx]);res.add(tmp);}}}backtrack(nums,idx + 1,res);}}
以上内容,就是常见的算法时间复杂度以及对应的示例程序。
