7.1 图的定义

图(Graph)是由顶点的有穷非空集合和顶点之间边的集合组成,通常表示为:G(V,E),其中,G 表示一个图,V 是图 G 中顶点的集合,E 是图 G 中边的集合。
特点:
- 线性表中的元素数据叫元素,树中叫结点,图中称为顶点(Vertex)。
- 图结构中,不允许没有顶点,集合 V 为有穷非空。
- 图中,任意两个顶点之前都可能有关系,顶点之间的逻辑关系用边来表示。
7.1.1 各种图定义
- 无向图:若顶点 Vi 到 Vj 之间的边没有方向,则这条边称为无向边(Edge),表示为(Vi, Vj)。如果图任意顶点的边都为无向边,则称该图为无向图(Undirected graphs)。
下图表示为 G1 = (V1, {E1}),V1 = { A, B, C, D }; E1 = { (A, B), (B, C), (C, D), (D, A), (A, C) }**
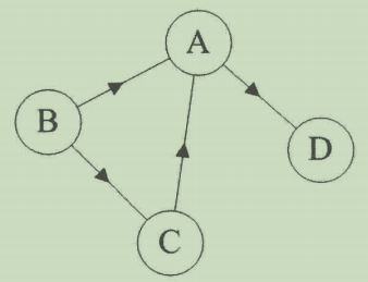
- 有向图:若顶点 Vi 到 Vj 之间的边有方向,则这条边称为有向边,也称为弧(Arc)。表示为
,Vi 称为弧尾(Tail),Vj 称为弧头(Head)。如果图任意顶点之间的边都为有向边,则称为有向图(Directed graphs)。
下图表示为 G2 = (V2, {E2}),V2 = { A, B, C, D }; E1 = { , , ,} 
- 无向完全图:在无向图中,任意顶点之间都存在边。
n个顶点边的数量公式为。

- 有向完全图:在有向图中,任意顶点之间都存在互为相反的两条弧。
n个顶点边的数量公式为 n * (n-1)。
- 稀疏图与稠密图:根据边的数量多少来定义,为模糊的概念。
- 网(Network):带权值的图称为网。

- 子图:有两个图 G = (V, {E}) 和 G’ = (V’, {E’})。如果
且
,则称 G’ 为 G 的子图(Subgraph)。
下图右侧为左侧的子图。
7.1.2 图的顶点与边之间的关系
对于无向图:
顶点 V 的度记作;
对于 n 个顶点的无向图来说,边的数量为各个顶点之间度数和的一半,多出的一半为重复两次计数导致。数学公式为
对于有向图:
顶点 V 为头的弧称为入度 ;V 为尾的弧称为出度
;
顶点 V 的度为 。
有向图的入度总和与出度总和相等,即 。
路径:
无向图的路径是无方向。有向图的路径需要区分方向。
路径的长度是路径上的边或弧的数目。
环(回路):
第一个顶点到最后一个顶点相同时的路径称为回路或环(Cycle)。
